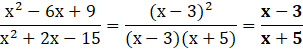
W tym zadaniu musisz skrócić ułamek algebraiczny oraz podać jego dziedzinę.
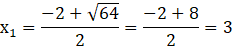
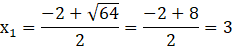
Zacznij od obliczenia dziedziny.
Wyznacz miejsca zerowe. Oblicz deltę.
Przekształć dany ułamek. Wyznacz miejsca zerowe w liczniku i mianowniku. W liczniku skorzystaj ze wzoru skróconego mnożenia:
Następnie skróć ułamek.
Zadanie 1.1.
5Zadanie 1.2.
5Zadanie 1.3.
5Zadanie 1.4.
5Zadanie 1.5.
6Zadanie 1.6.
6Zadanie 1.7.
6Zadanie 1.10.
6Zadanie 1.11.
6Zadanie 1.12.
7Zadanie 1.13.
7Zadanie 1.14.
7Zadanie 1.15.
7Zadanie 1.16.
7Zadanie 1.17.
7Zadanie 1.18.
8Zadanie 1.19.
8Zadanie 1.20.
8Zadanie 1.21.
8Zadanie 1.22.
8Zadanie 1.23.
9Zadanie 1.24.
9Zadanie 1.25.
9Zadanie 1.26.
9Zadanie 1.27.
9Zadanie 1.28
10Zadanie 1.29.
10Zadanie 1.30.
10Zadanie 1.31.
10Zadanie 1.32.
10Zadanie 1.33.
11Zadanie 1.34.
11Zadanie 1.35.
11Zadanie 1.36.
11Zadanie 1.37.
11Zadanie 1.38.
12Zadanie 1.39.
12Zadanie 1.40.
12Zadanie 1.41.
12Zadanie 1.42.
13Zadanie 1.43.
13Zadanie 1.44.
13Zadanie 1.45.
13Zadanie 1.46.
14Zadanie 1.57.
15Zadanie 1.58.
15Zadanie 1.59.
15Zadanie 1.60.
16Zadanie 1.61.
16Zadanie 1.62.
16Zadanie 1.63.
16Zadanie 1.64.
16Zadanie 1.79.
18Zadanie 1.81.
19Zadanie 1.82.
19Zadanie 1.83.
20Zadanie 1.84.
20Zadanie 1.85.
20Zadanie 1.86.
20Zadanie 1.88.
21Zadanie 1.89
21Zadanie 1.91.
21Zadanie 1.92.
21Zadanie 1.93.
21Zadanie 1.94.
22Zadanie 1.95.
22Zadanie 11.
23Zadanie 12.
24Zadanie 13.
24Zadanie 15.
25