W tym zadaniu musisz narysować wykresy funkcji w osobnych układach współrzędnych i wskazać funkcję, która nie jest homograficzna.
Funkcja jest homograficzna
G(x) nie jest funkcją homograficzną, ponieważ nie jest hiperbolą.
Funkcja jest homograficzna
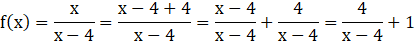
Zacznij od przekształcenia wzoru funkcji.
Oblicz dziedzinę.
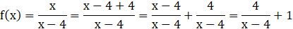
Zacznij od przekształcenia wzoru funkcji.
Oblicz dziedzinę.
Na początku narysuj wykres
Funkcja jest homograficzna
Zacznij od przekształcenia wzoru funkcji.
Narysuj wykres funkcji.
G(x) nie jest funkcją homograficzną, ponieważ nie jest hiperbolą.
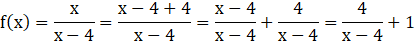
Zacznij od przekształcenia wzoru funkcji.
Oblicz dziedzinę.
Na początku narysuj wykres
Funkcja jest homograficzna
Zadanie 1.1.
5Zadanie 1.2.
5Zadanie 1.3.
5Zadanie 1.4.
5Zadanie 1.5.
6Zadanie 1.6.
6Zadanie 1.7.
6Zadanie 1.10.
6Zadanie 1.11.
6Zadanie 1.12.
7Zadanie 1.13.
7Zadanie 1.14.
7Zadanie 1.15.
7Zadanie 1.16.
7Zadanie 1.17.
7Zadanie 1.18.
8Zadanie 1.19.
8Zadanie 1.20.
8Zadanie 1.21.
8Zadanie 1.22.
8Zadanie 1.23.
9Zadanie 1.24.
9Zadanie 1.25.
9Zadanie 1.26.
9Zadanie 1.27.
9Zadanie 1.28
10Zadanie 1.29.
10Zadanie 1.30.
10Zadanie 1.31.
10Zadanie 1.32.
10Zadanie 1.33.
11Zadanie 1.34.
11Zadanie 1.35.
11Zadanie 1.36.
11Zadanie 1.37.
11Zadanie 1.38.
12Zadanie 1.39.
12Zadanie 1.40.
12Zadanie 1.41.
12Zadanie 1.42.
13Zadanie 1.43.
13Zadanie 1.44.
13Zadanie 1.45.
13Zadanie 1.46.
14Zadanie 1.57.
15Zadanie 1.58.
15Zadanie 1.59.
15Zadanie 1.60.
16Zadanie 1.61.
16Zadanie 1.62.
16Zadanie 1.63.
16Zadanie 1.64.
16Zadanie 1.79.
18Zadanie 1.81.
19Zadanie 1.82.
19Zadanie 1.83.
20Zadanie 1.84.
20Zadanie 1.85.
20Zadanie 1.86.
20Zadanie 1.88.
21Zadanie 1.89
21Zadanie 1.91.
21Zadanie 1.92.
21Zadanie 1.93.
21Zadanie 1.94.
22Zadanie 1.95.
22Zadanie 11.
23Zadanie 12.
24Zadanie 13.
24Zadanie 15.
25