W tym zadaniu musisz wykonać działania na ułamkach oraz podać ich dziedzinę.
Zacznij od obliczenia dziedziny.
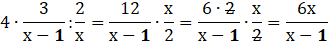
Przy mnożeniu ułamków: licznik pomnóż przez drugi licznik, mianownik pomnóż przez drugi mianownik. Dzielenie jest odwrotnością mnożenia, czyli jest to tak naprawdę mnożenie przez odwrotność ułamka.
Wykonaj działania na ułamkach. Drugi ułamek (czyli dzielną) odwróć i pomnóż ze sobą.
Zadanie 1.1.
5Zadanie 1.2.
5Zadanie 1.3.
5Zadanie 1.4.
5Zadanie 1.5.
6Zadanie 1.6.
6Zadanie 1.7.
6Zadanie 1.10.
6Zadanie 1.11.
6Zadanie 1.12.
7Zadanie 1.13.
7Zadanie 1.14.
7Zadanie 1.15.
7Zadanie 1.16.
7Zadanie 1.17.
7Zadanie 1.18.
8Zadanie 1.19.
8Zadanie 1.20.
8Zadanie 1.21.
8Zadanie 1.22.
8Zadanie 1.23.
9Zadanie 1.24.
9Zadanie 1.25.
9Zadanie 1.26.
9Zadanie 1.27.
9Zadanie 1.28
10Zadanie 1.29.
10Zadanie 1.30.
10Zadanie 1.31.
10Zadanie 1.32.
10Zadanie 1.33.
11Zadanie 1.34.
11Zadanie 1.35.
11Zadanie 1.36.
11Zadanie 1.37.
11Zadanie 1.38.
12Zadanie 1.39.
12Zadanie 1.40.
12Zadanie 1.41.
12Zadanie 1.42.
13Zadanie 1.43.
13Zadanie 1.44.
13Zadanie 1.45.
13Zadanie 1.46.
14Zadanie 1.57.
15Zadanie 1.58.
15Zadanie 1.59.
15Zadanie 1.60.
16Zadanie 1.61.
16Zadanie 1.62.
16Zadanie 1.63.
16Zadanie 1.64.
16Zadanie 1.79.
18Zadanie 1.81.
19Zadanie 1.82.
19Zadanie 1.83.
20Zadanie 1.84.
20Zadanie 1.85.
20Zadanie 1.86.
20Zadanie 1.88.
21Zadanie 1.89
21Zadanie 1.91.
21Zadanie 1.92.
21Zadanie 1.93.
21Zadanie 1.94.
22Zadanie 1.95.
22Zadanie 11.
23Zadanie 12.
24Zadanie 13.
24Zadanie 15.
25