W tym zadaniu musisz wskazać, które z podanych zdań jest fałszywe.
Miejsce zerowe funkcji f jest liczbą ujemną.
Miejsce zerowe funkcji f jest liczbą ujemną – zdanie prawdziwe.
Funkcja f jest rosnąca w przedziałach
Funkcja jest rosnąca w przedziale
Środkiem symetrii wykresu funkcji f jest punkt (3,1).
Wykres funkcji przecina oś OY poniżej punktu O (0,0).
Odczytaj z wykresu, że wykres funkcji przecina oś OY w punkcie poniżej O (0,0) – zdanie prawdziwe
Odpowiedź: B. Funkcja f jest rosnąca w przedziałach
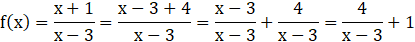
Przekształć wzór funkcji.
Miejsce zerowe funkcji f jest liczbą ujemną.
Miejsce zerowe otrzymasz, jak przyrównony licznik ułamka do 0.
Miejsce zerowe funkcji f jest liczbą ujemną – zdanie prawdziwe.
Funkcja f jest rosnąca w przedziałach
Aby określić, czy funkcja jest rosnąca w podanych przedziałach wykonaj rysunek funkcji.
Funkcja jest rosnąca w przedziale
Środkiem symetrii wykresu funkcji f jest punkt (3,1).
Współrzędne środka symetrii są współrzędne wektora przesunięcia.
Wykres funkcji przecina oś OY poniżej punktu O (0,0).
Odczytaj z wykresu, że wykres funkcji przecina oś OY w punkcie poniżej O (0,0) – zdanie prawdziwe
Odpowiedź: B. Funkcja f jest rosnąca w przedziałach
Zadanie 1.1.
5Zadanie 1.2.
5Zadanie 1.3.
5Zadanie 1.4.
5Zadanie 1.5.
6Zadanie 1.6.
6Zadanie 1.7.
6Zadanie 1.10.
6Zadanie 1.11.
6Zadanie 1.12.
7Zadanie 1.13.
7Zadanie 1.14.
7Zadanie 1.15.
7Zadanie 1.16.
7Zadanie 1.17.
7Zadanie 1.18.
8Zadanie 1.19.
8Zadanie 1.20.
8Zadanie 1.21.
8Zadanie 1.22.
8Zadanie 1.23.
9Zadanie 1.24.
9Zadanie 1.25.
9Zadanie 1.26.
9Zadanie 1.27.
9Zadanie 1.28
10Zadanie 1.29.
10Zadanie 1.30.
10Zadanie 1.31.
10Zadanie 1.32.
10Zadanie 1.33.
11Zadanie 1.34.
11Zadanie 1.35.
11Zadanie 1.36.
11Zadanie 1.37.
11Zadanie 1.38.
12Zadanie 1.39.
12Zadanie 1.40.
12Zadanie 1.41.
12Zadanie 1.42.
13Zadanie 1.43.
13Zadanie 1.44.
13Zadanie 1.45.
13Zadanie 1.46.
14Zadanie 1.57.
15Zadanie 1.58.
15Zadanie 1.59.
15Zadanie 1.60.
16Zadanie 1.61.
16Zadanie 1.62.
16Zadanie 1.63.
16Zadanie 1.64.
16Zadanie 1.79.
18Zadanie 1.81.
19Zadanie 1.82.
19Zadanie 1.83.
20Zadanie 1.84.
20Zadanie 1.85.
20Zadanie 1.86.
20Zadanie 1.88.
21Zadanie 1.89
21Zadanie 1.91.
21Zadanie 1.92.
21Zadanie 1.93.
21Zadanie 1.94.
22Zadanie 1.95.
22Zadanie 11.
23Zadanie 12.
24Zadanie 13.
24Zadanie 15.
25