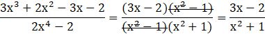
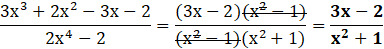
W tym zadaniu musisz skrócić ułamek algebraiczny oraz podać jego dziedzinę.
Zacznij od obliczenia dziedziny. Nasz wielomian w liczniku ma postać
Wyznacz miejsca zerowe wyrażenia z licznika ułamka
Skróć ułamek.
Zadanie 1.1.
5Zadanie 1.2.
5Zadanie 1.3.
5Zadanie 1.4.
5Zadanie 1.5.
6Zadanie 1.6.
6Zadanie 1.7.
6Zadanie 1.10.
6Zadanie 1.11.
6Zadanie 1.12.
7Zadanie 1.13.
7Zadanie 1.14.
7Zadanie 1.15.
7Zadanie 1.16.
7Zadanie 1.17.
7Zadanie 1.18.
8Zadanie 1.19.
8Zadanie 1.20.
8Zadanie 1.21.
8Zadanie 1.22.
8Zadanie 1.23.
9Zadanie 1.24.
9Zadanie 1.25.
9Zadanie 1.26.
9Zadanie 1.27.
9Zadanie 1.28
10Zadanie 1.29.
10Zadanie 1.30.
10Zadanie 1.31.
10Zadanie 1.32.
10Zadanie 1.33.
11Zadanie 1.34.
11Zadanie 1.35.
11Zadanie 1.36.
11Zadanie 1.37.
11Zadanie 1.38.
12Zadanie 1.39.
12Zadanie 1.40.
12Zadanie 1.41.
12Zadanie 1.42.
13Zadanie 1.43.
13Zadanie 1.44.
13Zadanie 1.45.
13Zadanie 1.46.
14Zadanie 1.57.
15Zadanie 1.58.
15Zadanie 1.59.
15Zadanie 1.60.
16Zadanie 1.61.
16Zadanie 1.62.
16Zadanie 1.63.
16Zadanie 1.64.
16Zadanie 1.79.
18Zadanie 1.81.
19Zadanie 1.82.
19Zadanie 1.83.
20Zadanie 1.84.
20Zadanie 1.85.
20Zadanie 1.86.
20Zadanie 1.88.
21Zadanie 1.89
21Zadanie 1.91.
21Zadanie 1.92.
21Zadanie 1.93.
21Zadanie 1.94.
22Zadanie 1.95.
22Zadanie 11.
23Zadanie 12.
24Zadanie 13.
24Zadanie 15.
25