W tym zadaniu musisz wykonać działania na ułamkach oraz podać ich dziedzinę.
Zacznij od obliczenia dziedziny.
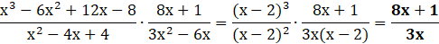
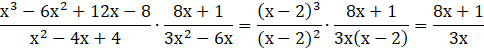
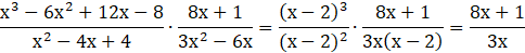
Skorzystaj ze wzoru skróconego mnożenia:
Przy mnożeniu ułamków: licznik pomnóż przez drugi licznik, mianownik pomnóż przez drugi mianownik.
Przekształć licznik pierwszego ułamka:
Skorzystaj ze wzoru skróconego mnożenia:
Wykonaj mnożenie na ułamkach.
Następnie skróć ułamek przez
Zadanie 1.1.
5Zadanie 1.2.
5Zadanie 1.3.
5Zadanie 1.4.
5Zadanie 1.5.
6Zadanie 1.6.
6Zadanie 1.7.
6Zadanie 1.10.
6Zadanie 1.11.
6Zadanie 1.12.
7Zadanie 1.13.
7Zadanie 1.14.
7Zadanie 1.15.
7Zadanie 1.16.
7Zadanie 1.17.
7Zadanie 1.18.
8Zadanie 1.19.
8Zadanie 1.20.
8Zadanie 1.21.
8Zadanie 1.22.
8Zadanie 1.23.
9Zadanie 1.24.
9Zadanie 1.25.
9Zadanie 1.26.
9Zadanie 1.27.
9Zadanie 1.28
10Zadanie 1.29.
10Zadanie 1.30.
10Zadanie 1.31.
10Zadanie 1.32.
10Zadanie 1.33.
11Zadanie 1.34.
11Zadanie 1.35.
11Zadanie 1.36.
11Zadanie 1.37.
11Zadanie 1.38.
12Zadanie 1.39.
12Zadanie 1.40.
12Zadanie 1.41.
12Zadanie 1.42.
13Zadanie 1.43.
13Zadanie 1.44.
13Zadanie 1.45.
13Zadanie 1.46.
14Zadanie 1.57.
15Zadanie 1.58.
15Zadanie 1.59.
15Zadanie 1.60.
16Zadanie 1.61.
16Zadanie 1.62.
16Zadanie 1.63.
16Zadanie 1.64.
16Zadanie 1.79.
18Zadanie 1.81.
19Zadanie 1.82.
19Zadanie 1.83.
20Zadanie 1.84.
20Zadanie 1.85.
20Zadanie 1.86.
20Zadanie 1.88.
21Zadanie 1.89
21Zadanie 1.91.
21Zadanie 1.92.
21Zadanie 1.93.
21Zadanie 1.94.
22Zadanie 1.95.
22Zadanie 11.
23Zadanie 12.
24Zadanie 13.
24Zadanie 15.
25