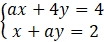
W tym zadaniu sprawdzić, kiedy powyższy układ równań będzie oznaczony, nieoznaczony lub sprzeczny w zależności od wartości parametru a.
Układ oznaczony – 1 rozwiązanie:
Układ nieoznaczony – nieskończenie wiele rozwiązań:
Układ sprzeczny – 0 rozwiązań:
Do rozwiązania zadania posłuż się metodą wyznaczników.Oblicz wszystkie wyznaczniki układu równań, w zależności od parametru a.
Układ równań będzie oznaczony – będzie miał jedno rozwiązanie – wtedy, gdy wyznacznik główny będzie różny od 0.
Układ będzie nieoznaczony – będzie miał nieskończenie wiele rozwiązań – wtedy, gdy wszystkie wyznaczniki będą równe 0.
Układ będzie sprzeczny – nie będzie miał rozwiązań – wtedy, gdy wyznacznik główny będzie równy 0 oraz przynajmniej jeden z wyznaczników Wx lub Wy będzie różny od 0.
Każdy z wymienionych przypadków opisz w postaci odpowiednich równań bądź nierówności. Następnie wyznacz wartości parametru a, spełniające zapisane wcześniej warunki.
Zadanie 1
57Zadanie 2
57Zadanie 3
57Zadanie 4
58Zadanie 5
58Zadanie 6
58Zadanie 7
58Zadanie 8
58Zadanie 9
58Zadanie 1
60Zadanie 2
60Zadanie 3
60Zadanie 1
63Zadanie 2
63Zadanie 3
63Zadanie 4
63Zadanie 5
63Zadanie 6
63Zadanie 7
63Zadanie 8
63Zadanie 9
63Ćwiczenie 1
64Ćwiczenie 2
64Ćwiczenie 3
66Zadanie 1
67Zadanie 2
67Zadanie 3
67Zadanie 4
67Zadanie 5
68Zadanie 6
68Zadanie 7
68Zadanie 8
68Zadanie 9
68Zadanie 10
68Zadanie 11
68Zadanie 12
68Zadanie 13
68Zadanie 1
71Zadanie 2
71Zadanie 3
71Zadanie 4
72Zadanie 5
72Zadanie 6
72Ćwiczenie 1
73Ćwiczenie 4
74Zadanie 1
75Zadanie 2
76Zadanie 3
76Zadanie 4
76Zadanie 5
76Zadanie 6
76Zadanie 7
76Zadanie 8
76Zadanie 9
76Zadanie 10
76Ćwiczenie 3
78Zadanie 1
80Zadanie 2
80Zadanie 3
80Zadanie 4
80Zadanie 5
80Zadanie 6
80Zadanie 7
80Ćwiczenie 1
81Zadanie 1
84Zadanie 2
84Zadanie 3
85Zadanie 4
85Zadanie 5
85Zadanie 6
85Zadanie 7
85Zadanie 8
85Zadanie 9
85Ćwiczenie 1
86Ćwiczenie 2
87Zadanie 1
89Zadanie 2
89Zadanie 3
89Zadanie 4
89Zadanie 5
89Zadanie 6
89Ćwiczenie 1
90Zadanie 1
95Zadanie 2
95Zadanie 15
97Zadanie 17
97Zadanie 23
97Zadanie 24
98Zadanie 25
98Zadanie 26
98Zadanie 27
98Zadanie 28
98Zadanie 29
98Zadanie 31
98Zadanie 32
98Zadanie 33
98