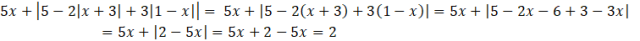
W tym zadaniu, na podstawie znajomość dziedziny, do której należy x, musisz udowodnić, że wartość podanego wyrażenia jest stała.
Aby uprościć dane wyrażenie, zacznij od opuszczenia najbardziej wewnętrznych symboli wartości bezwzględnej. Możesz oszacować, że dla każdego x należącego do dziedziny zachodzą zależności: x + 3 > 0; 1 – x > 0.
Następnie uprość wyrażenie wewnątrz zewnętrznej wartości bezwzględnej i oszacuj, że 2 – 5x > 0.
Po uproszczeniu wyrażenia otrzymasz wartość stałą = 2.
Zadanie 1
57Zadanie 2
57Zadanie 3
57Zadanie 4
58Zadanie 5
58Zadanie 6
58Zadanie 7
58Zadanie 8
58Zadanie 9
58Zadanie 1
60Zadanie 2
60Zadanie 3
60Zadanie 1
63Zadanie 2
63Zadanie 3
63Zadanie 4
63Zadanie 5
63Zadanie 6
63Zadanie 7
63Zadanie 8
63Zadanie 9
63Ćwiczenie 1
64Ćwiczenie 2
64Ćwiczenie 3
66Zadanie 1
67Zadanie 2
67Zadanie 3
67Zadanie 4
67Zadanie 5
68Zadanie 6
68Zadanie 7
68Zadanie 8
68Zadanie 9
68Zadanie 10
68Zadanie 11
68Zadanie 12
68Zadanie 13
68Zadanie 1
71Zadanie 2
71Zadanie 3
71Zadanie 4
72Zadanie 5
72Zadanie 6
72Ćwiczenie 1
73Ćwiczenie 4
74Zadanie 1
75Zadanie 2
76Zadanie 3
76Zadanie 4
76Zadanie 5
76Zadanie 6
76Zadanie 7
76Zadanie 8
76Zadanie 9
76Zadanie 10
76Ćwiczenie 3
78Zadanie 1
80Zadanie 2
80Zadanie 3
80Zadanie 4
80Zadanie 5
80Zadanie 6
80Zadanie 7
80Ćwiczenie 1
81Zadanie 1
84Zadanie 2
84Zadanie 3
85Zadanie 4
85Zadanie 5
85Zadanie 6
85Zadanie 7
85Zadanie 8
85Zadanie 9
85Ćwiczenie 1
86Ćwiczenie 2
87Zadanie 1
89Zadanie 2
89Zadanie 3
89Zadanie 4
89Zadanie 5
89Zadanie 6
89Ćwiczenie 1
90Zadanie 1
95Zadanie 2
95Zadanie 15
97Zadanie 17
97Zadanie 23
97Zadanie 24
98Zadanie 25
98Zadanie 26
98Zadanie 27
98Zadanie 28
98Zadanie 29
98Zadanie 31
98Zadanie 32
98Zadanie 33
98