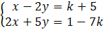
W tym zadaniu musisz wyznaczyć wszystkie wartości parametru k, dla których funkcje liniowe o podanych wzorach przecinają się w punkcie, którego współrzędne spełniają nierówność |x| < |y|.
Z równań danych funkcji ułóż układ równań.Przekształć otrzymany układ do postaci, z której łatwo będzie obliczyć wyznaczniki.Oblicz wszystkie 3 wyznaczniki układu. Wyznacznik główny jest różny od 0, więc układ równań jest oznaczony. Korzystając ze wzorów Cramera wyznacz rozwiązania układu ze względu na parametr k. Podstaw otrzymane rozwiązania do warunku podanego w poleceniu. Skorzystaj z własności
Zadanie 1
57Zadanie 2
57Zadanie 3
57Zadanie 4
58Zadanie 5
58Zadanie 6
58Zadanie 7
58Zadanie 8
58Zadanie 9
58Zadanie 1
60Zadanie 2
60Zadanie 3
60Zadanie 1
63Zadanie 2
63Zadanie 3
63Zadanie 4
63Zadanie 5
63Zadanie 6
63Zadanie 7
63Zadanie 8
63Zadanie 9
63Ćwiczenie 1
64Ćwiczenie 2
64Ćwiczenie 3
66Zadanie 1
67Zadanie 2
67Zadanie 3
67Zadanie 4
67Zadanie 5
68Zadanie 6
68Zadanie 7
68Zadanie 8
68Zadanie 9
68Zadanie 10
68Zadanie 11
68Zadanie 12
68Zadanie 13
68Zadanie 1
71Zadanie 2
71Zadanie 3
71Zadanie 4
72Zadanie 5
72Zadanie 6
72Ćwiczenie 1
73Ćwiczenie 4
74Zadanie 1
75Zadanie 2
76Zadanie 3
76Zadanie 4
76Zadanie 5
76Zadanie 6
76Zadanie 7
76Zadanie 8
76Zadanie 9
76Zadanie 10
76Ćwiczenie 3
78Zadanie 1
80Zadanie 2
80Zadanie 3
80Zadanie 4
80Zadanie 5
80Zadanie 6
80Zadanie 7
80Ćwiczenie 1
81Zadanie 1
84Zadanie 2
84Zadanie 3
85Zadanie 4
85Zadanie 5
85Zadanie 6
85Zadanie 7
85Zadanie 8
85Zadanie 9
85Ćwiczenie 1
86Ćwiczenie 2
87Zadanie 1
89Zadanie 2
89Zadanie 3
89Zadanie 4
89Zadanie 5
89Zadanie 6
89Ćwiczenie 1
90Zadanie 1
95Zadanie 2
95Zadanie 15
97Zadanie 17
97Zadanie 23
97Zadanie 24
98Zadanie 25
98Zadanie 26
98Zadanie 27
98Zadanie 28
98Zadanie 29
98Zadanie 31
98Zadanie 32
98Zadanie 33
98