W tym zadaniu musisz znaleźć wszystkie wartości parametru m, dla których równanie liniowe z niewiadomą x ma jedna rozwiązanie. Następnie wyznacz to rozwiązanie.
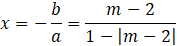
Aby równanie liniowe dane wzorem ax + b = 0 miało jedno rozwiązanie, współczynnik a nie może być równy 0. Wówczas rozwiązanie to opisuje wzór
Rozwiązanie zadania zacznij od przekształcenia go do postaci ax + b = 0. Następnie wyznacz wartości parametru m, dla których wartość współczynnika a jest równa 0. Podstaw wyznaczone wartości współczynników równania do wspomnianego wcześniej wzoru.
Zadanie 1
57Zadanie 2
57Zadanie 3
57Zadanie 4
58Zadanie 5
58Zadanie 6
58Zadanie 7
58Zadanie 8
58Zadanie 9
58Zadanie 1
60Zadanie 2
60Zadanie 3
60Zadanie 1
63Zadanie 2
63Zadanie 3
63Zadanie 4
63Zadanie 5
63Zadanie 6
63Zadanie 7
63Zadanie 8
63Zadanie 9
63Ćwiczenie 1
64Ćwiczenie 2
64Ćwiczenie 3
66Zadanie 1
67Zadanie 2
67Zadanie 3
67Zadanie 4
67Zadanie 5
68Zadanie 6
68Zadanie 7
68Zadanie 8
68Zadanie 9
68Zadanie 10
68Zadanie 11
68Zadanie 12
68Zadanie 13
68Zadanie 1
71Zadanie 2
71Zadanie 3
71Zadanie 4
72Zadanie 5
72Zadanie 6
72Ćwiczenie 1
73Ćwiczenie 4
74Zadanie 1
75Zadanie 2
76Zadanie 3
76Zadanie 4
76Zadanie 5
76Zadanie 6
76Zadanie 7
76Zadanie 8
76Zadanie 9
76Zadanie 10
76Ćwiczenie 3
78Zadanie 1
80Zadanie 2
80Zadanie 3
80Zadanie 4
80Zadanie 5
80Zadanie 6
80Zadanie 7
80Ćwiczenie 1
81Zadanie 1
84Zadanie 2
84Zadanie 3
85Zadanie 4
85Zadanie 5
85Zadanie 6
85Zadanie 7
85Zadanie 8
85Zadanie 9
85Ćwiczenie 1
86Ćwiczenie 2
87Zadanie 1
89Zadanie 2
89Zadanie 3
89Zadanie 4
89Zadanie 5
89Zadanie 6
89Ćwiczenie 1
90Zadanie 1
95Zadanie 2
95Zadanie 15
97Zadanie 17
97Zadanie 23
97Zadanie 24
98Zadanie 25
98Zadanie 26
98Zadanie 27
98Zadanie 28
98Zadanie 29
98Zadanie 31
98Zadanie 32
98Zadanie 33
98