W tym zadaniu musisz zidentyfikować aldehydy z podanych struktur i przerysować je, potem musisz nadać nazwę systematyczną tym aldehydom.
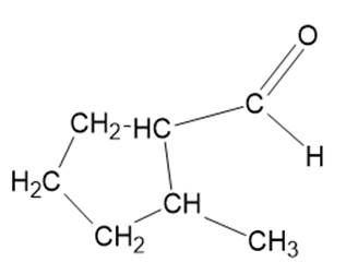
2-metylocyklopentanokarboaldehyd
pentanal
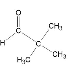
2,2-dimetylopropanal
Aldehydy rozpoznasz po obecności grupy aldehydowej, czyli takiej, w której węgiel z grupy karbonylowej wiąże się z jednej strony z łańcuchem alifatycznym, a z drugiej strony z wodorem oraz wiązaniem podwójnym z tlenem. Wyjątek stanowi aldehyd mrówkowy – mamy jeden węgiel, więc zamiast z łańcuchem alifatycznym wiąże się on z 2 atomem wodoru (HCHO).
Możesz też spojrzeć na to zadanie jak na poszukiwanie związków, które na jednym z końców mają grupę CHO.
Aby nazwać związek, który jest aldehydem, należy:
– Odnaleźć łańcuch główny (to ten najdłuższy i/lub najdłuższy z największą ilością podstawników) i go nazwij w zależności od liczby atomów węgla.
– Do nazwy rdzenia na końcu dodać końcówkę -al.
– Numerację podstawników zacząć od miejsca, w którym znajduje się grupa aldehydowa.
– Ustalić liczbę i rodzaj podstawników. Tworzysz ich nazwy, dodając końcówkę -ylo (np. „metylo-”).
– Gdy podstawników tego samego rodzaju jest kilka, to musisz dodać odpowiednie przedrostki do nich: di- (jeśli są dwa), tri- (jeśli są trzy) itd.
– W nazwie należy podawać dane podstawniki w kolejności alfabetycznej.
– Zapisać nazwę, zaczynając od nazwy podstawników z numeracją, dodajemy do tego nazwę łańcucha głównego.
Dla związków cyklicznych, aromatycznych: gdy grupa aldehydowa jest bezpośrednio z nimi związana, to dodaj do nazwy rdzenia końcówkę -karboaldehyd. Numerację zacznij od grupy aldehydowej też w tym przypadku.
Ćwiczenie 2
144Ćwiczenie 3
145Ćwiczenie 4
146Ćwiczenie 5
146Ćwiczenie 6
152Zadanie 1
158Zadanie 2
159Zadanie 3
159Zadanie 7
160Ćwiczenie 1
163Ćwiczenie 3
163Ćwiczenie 4
170Zadanie 1
174Zadanie 2
174Zadanie 3
175Zadanie 6
175Zadanie 7
175Ćwiczenie 2
179Zadanie 1
187Zadanie 4
188Ćwiczenie 2
191Ćwiczenie 3
193Ćwiczenie 4
195Ćwiczenie 5
191Zadanie 1
197Zadanie 2
197Zadanie 4
198Zadanie 6
198Ćwiczenie 1
203Ćwiczenie 2
203Ćwiczenie 3
203Zadanie 2
210Zadanie 3
211Zadanie 5
211Zadanie 6
211Zadanie 7
211Ćwiczenie 2
220Zadanie 2
222Zadanie 3
222Ćwiczenie 2
226Ćwiczenie 3
226Ćwiczenie 5
228Ćwiczenie 6
228Zadanie 1
231Zadanie 5
232Zadanie 6
232Zadanie 7
232Zadanie 5
240Zadanie 7
240Ćwiczenie 1
242Zadanie 3
244Ćwiczenie 1*
248Ćwiczenie 2*
248Zadanie 1*
252Ćwiczenie 7
252Pytanie 13
259Pytanie 15
259Pytanie 16
260