W tym zadaniu napisz nazwy związków z poprzedniego zadania.
pentan-2-ol
cyklopentanon
pentano-2-amina
3-propanian-1-palmitynian-2-stearynian glicerolu
kwas oleinowy
fenol
N,N-dipropyloamina
cyklopentanol
benzeno-1,3-diol
cykloheksanal
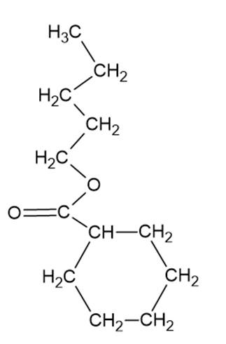
pentanian metylu
keton butylowo-fenylowy
keton pentylowo-fenylowy
kwas metanowy
pentanal
kwas stearynowy
kwas 2,4-dimetylopentanowy
W tym zadaniu, wykorzystując wiedzę z zadania 1, na temat, jakie są to związki, zapisz ich nazwy. Najważniejsze informacje:
Alkohole – końcówka -ol.
Keton – końcówka -on.
Amina – końcówka -amina.
Aldehyd – końcówka -al.
Kwasy karboksylowe – przedrostek kwas-.
Ćwiczenie 2
144Ćwiczenie 3
145Ćwiczenie 4
146Ćwiczenie 5
146Ćwiczenie 6
152Zadanie 1
158Zadanie 2
159Zadanie 3
159Zadanie 7
160Ćwiczenie 1
163Ćwiczenie 3
163Ćwiczenie 4
170Zadanie 1
174Zadanie 2
174Zadanie 3
175Zadanie 6
175Zadanie 7
175Ćwiczenie 2
179Zadanie 1
187Zadanie 4
188Ćwiczenie 2
191Ćwiczenie 3
193Ćwiczenie 4
195Ćwiczenie 5
191Zadanie 1
197Zadanie 2
197Zadanie 4
198Zadanie 6
198Ćwiczenie 1
203Ćwiczenie 2
203Ćwiczenie 3
203Zadanie 2
210Zadanie 3
211Zadanie 5
211Zadanie 6
211Zadanie 7
211Ćwiczenie 2
220Zadanie 2
222Zadanie 3
222Ćwiczenie 2
226Ćwiczenie 3
226Ćwiczenie 5
228Ćwiczenie 6
228Zadanie 1
231Zadanie 5
232Zadanie 6
232Zadanie 7
232Zadanie 5
240Zadanie 7
240Ćwiczenie 1
242Zadanie 3
244Ćwiczenie 1*
248Ćwiczenie 2*
248Zadanie 1*
252Ćwiczenie 7
252Pytanie 13
259Pytanie 15
259Pytanie 16
260