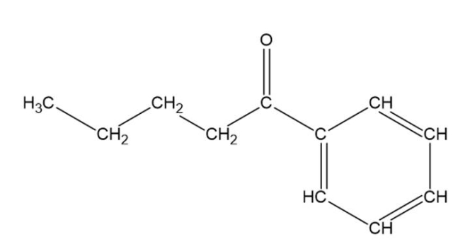
W tym zadaniu zapisz równanie strukturę ketonu i podkreśl keton aromatyczny.
Nazwy ketonów tworzy się przez dodanie końcówki -on do nazwy węglowodoru o tej samej liczbie atomów węgla. W razie konieczności podaj lokant przed końcówką -on. Numeracja łańcucha węglowego powinna zaczynać się tak, by węgiel od grupy ketonowej miał jak najniższy numer. Innym systemem nazewnictwa jest tworzenie nazwy ze słowem keton, w której podajemy nazwy pozostałych grup węglowodorowych.
Jest to keton aromatyczny.
Ćwiczenie 2
144Ćwiczenie 3
145Ćwiczenie 4
146Ćwiczenie 5
146Ćwiczenie 6
152Zadanie 1
158Zadanie 2
159Zadanie 3
159Zadanie 7
160Ćwiczenie 1
163Ćwiczenie 3
163Ćwiczenie 4
170Zadanie 1
174Zadanie 2
174Zadanie 3
175Zadanie 6
175Zadanie 7
175Ćwiczenie 2
179Zadanie 1
187Zadanie 4
188Ćwiczenie 2
191Ćwiczenie 3
193Ćwiczenie 4
195Ćwiczenie 5
191Zadanie 1
197Zadanie 2
197Zadanie 4
198Zadanie 6
198Ćwiczenie 1
203Ćwiczenie 2
203Ćwiczenie 3
203Zadanie 2
210Zadanie 3
211Zadanie 5
211Zadanie 6
211Zadanie 7
211Ćwiczenie 2
220Zadanie 2
222Zadanie 3
222Ćwiczenie 2
226Ćwiczenie 3
226Ćwiczenie 5
228Ćwiczenie 6
228Zadanie 1
231Zadanie 5
232Zadanie 6
232Zadanie 7
232Zadanie 5
240Zadanie 7
240Ćwiczenie 1
242Zadanie 3
244Ćwiczenie 1*
248Ćwiczenie 2*
248Zadanie 1*
252Ćwiczenie 7
252Pytanie 13
259Pytanie 15
259Pytanie 16
260