Ca – 40,08 g/mol
Mg – 24,31 g/mol
x – liczba moli wapnia
y – liczba moli magnezu
Równania reakcji z niewiadomymi liczbami moli:
x Ca + 2x HCl → CaCl2 + x H2
y Ca + 2y HCl → MgCl2 + y H2
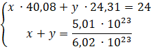
Tworzymy układ równań w celu wyliczenia x i y:
%Ca =
%Mg = 100% - 40% = 60%
Pierwsze równanie w układzie odpowiada temu, że suma mas Mg i Ca wynosi 24 g (masa molowa pomnożona przez szukaną liczbę moli). Drugie równanie mówi, że sumaryczna liczba moli Ca i Mg powoduje powstanie pewnej liczby moli H2, która wynosi określony ułamek cząsteczek (w 1 molu substancji zawsze jest zawartych