Wykaż, że dla dowolnego trójkąta ABC prawdziwa jest podwójna nierówność:
gdzie a, b, c oznaczają długości odpowiednich boków trójkąta,
Założenie:
Teza:
Zadanie:
Zwizualizuj dane na rysunku.
Jeśli połączysz środki dwóch dowolnych boków w trójkącie to odcinek, który powstanie będzie miał długość połowy trzeciego boku.
Skorzystaj z twierdzenie o nierówności trójkąta: dla dowolnego trójkąta miara każdego boku musi być mniejsza lub równa sumie miar dwóch pozostałych.
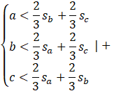
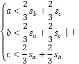
Utwórz układ równań.
Dodaj wszystkie równania do siebie.
Skorzystaj o twierdzeniu o środkowych w trójkącie: Trzy środkowe trójkąta przecinają się w jednym punkcie. Punkt ten, nazywany środkiem ciężkości trójkąta, dzieli każdą ze środkowych w stosunku 2:1.
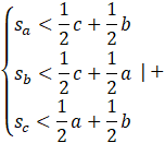
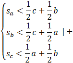
Zapisz równania i stwórz układ równań.
Dodaj wszystkie równania do siebie.
Zadanie 7.4.
191Zadanie 7.5.
191Zadanie 7.9.
192Zadanie 7.12.
193Zadanie 7.15.
192Zadanie 7.16.
193Zadanie 7.17.
193Zadanie 7.18.
193Zadanie 7.23.
193Zadanie 7.25.
194Zadanie 7.26.
194Zadanie 7.29.
194Zadanie 7.31.
195Zadanie 7.33.
195Zadanie 7.35.
195Zadanie 7.36.
196Zadanie 7.37.
196Zadanie 7.42.
197Zadanie 7.43.
197Zadanie 7.44.
197Zadanie 7.47.
197Zadanie 7.48.
197Zadanie 7.52.
198Zadanie 7.53.
198Zadanie 7.57.
191Zadanie 7.58.
199Zadanie 7.59.
199Zadanie 7.60.
199Zadanie 7.61.
191Zadanie 7.62.
200Zadanie 7.63.
200Zadanie 7.74.
201Zadanie 7.75.
201Zadanie 7.96.
203Zadanie 7.97.
203Zadanie 7.104.
204Zadanie 7.106.
204Zadanie 7.107.
205Zadanie 7.108.
205Zadanie 7.110.
205Zadanie 7.114.
205Zadanie 7.131.
207Zadanie 7.143.
209Zadanie 7.145.
209Zadanie 7.146.
210Zadanie 7.147.
210Zadanie 7.148.
211Zadanie 7.151.
211Zadanie 7.152.
212Zadanie 7.153.
212Zadanie 7.168.
213Zadanie 7.171.
214Zadanie 7.172.
214Zadanie 7.173.
214Zadanie 7.174.
214Zadanie 25.
218Zadanie 29.
219Zadanie 34.
219Zadanie 38.
220