W trójkącie równobocznym ABC, gdzie punkt E jest wysokością opuszczoną na bok AC, a punkt D jest przecięciem wysokości CD z wysokością AE. Wykaż, że trójkąt ODE jest podobny do trójkąta ADE. Oblicz również skalę podobieństwa.
Zwizualizuj to:
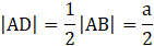
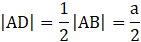
Bok trójkąta ABC oznacz jako a.
Wysokość w trójkącie równobocznym jest też środkową, więc:
Teraz możesz zauważyć, że trójkąt ODE jest równoramienny.
Zauważ, że trójkąt BDE też jest równoboczny, więc:
Teraz możesz zauważyć, że trójkąt ADE jest równoramienny.
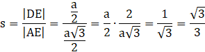
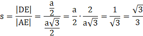
A Teraz możesz zauważyć, że oba trójkąty ODE i ADE mają ten sam kąt przy podstawie, więc:
Teraz wyznacz skalę tego podobieństwa:
Zadanie 7.4.
191Zadanie 7.5.
191Zadanie 7.9.
192Zadanie 7.12.
193Zadanie 7.15.
192Zadanie 7.16.
193Zadanie 7.17.
193Zadanie 7.18.
193Zadanie 7.23.
193Zadanie 7.25.
194Zadanie 7.26.
194Zadanie 7.29.
194Zadanie 7.31.
195Zadanie 7.33.
195Zadanie 7.35.
195Zadanie 7.36.
196Zadanie 7.37.
196Zadanie 7.42.
197Zadanie 7.43.
197Zadanie 7.44.
197Zadanie 7.47.
197Zadanie 7.48.
197Zadanie 7.52.
198Zadanie 7.53.
198Zadanie 7.57.
191Zadanie 7.58.
199Zadanie 7.59.
199Zadanie 7.60.
199Zadanie 7.61.
191Zadanie 7.62.
200Zadanie 7.63.
200Zadanie 7.74.
201Zadanie 7.75.
201Zadanie 7.96.
203Zadanie 7.97.
203Zadanie 7.104.
204Zadanie 7.106.
204Zadanie 7.107.
205Zadanie 7.108.
205Zadanie 7.110.
205Zadanie 7.114.
205Zadanie 7.131.
207Zadanie 7.143.
209Zadanie 7.145.
209Zadanie 7.146.
210Zadanie 7.147.
210Zadanie 7.148.
211Zadanie 7.151.
211Zadanie 7.152.
212Zadanie 7.153.
212Zadanie 7.168.
213Zadanie 7.171.
214Zadanie 7.172.
214Zadanie 7.173.
214Zadanie 7.174.
214Zadanie 25.
218Zadanie 29.
219Zadanie 34.
219Zadanie 38.
220