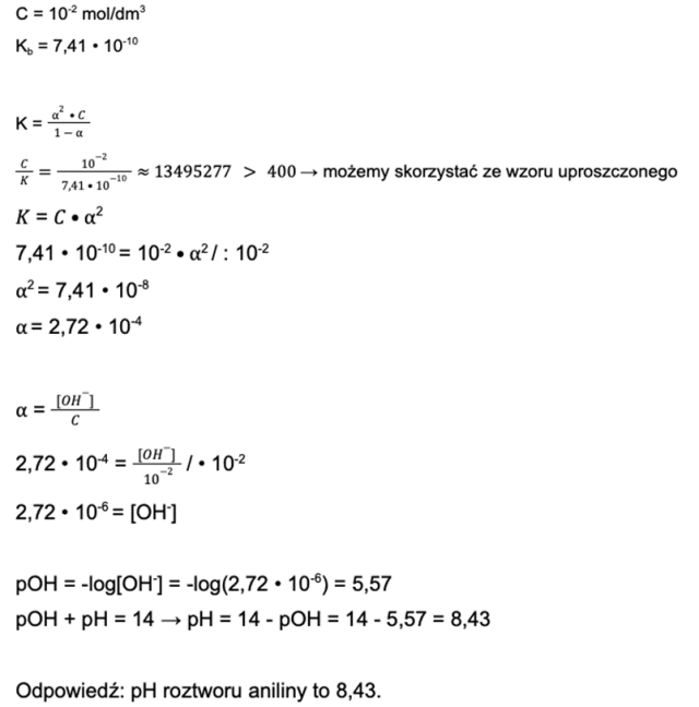
Krok 1: Zapisz dane. Informację o stężeniu i stałej dysocjacji uzyskujemy z treści zadania.
C = 10-2 mol/dm3
Kb = 7,71 • 10-10
Krok 2: Zastanów się, czym jest pH. Jest to wartość równa ujemnemu logarytmowi ze stężenia jonów wodorowych. Stężenie jonów H+ dostępne jest we wzorze na stałą dysocjacji (α):
α = [H+] : C
Zwróć uwagę, że w zadaniu podano nam stałą dysocjacji zasadowej. Stąd analogicznie uzyskujemy:
α = [OH-] : C
Do użycia wzoru brakuje nam również wartości stałej dysocjacji. Obliczamy ją ze wzoru:
Według prawa rozcieńczeń Ostwalda, gdy iloraz stężenia i stałej dysocjacji K jest większy niż 400, można skorzystać ze wzoru uproszczonego na K i pominąć mianownik równania:
Korzystamy z uproszczonego wzoru i rozwiązujemy równanie:
Krok 3: Mamy dostępną wartość stopnia dysocjacji i stężenie. Wracamy do początku punktu drugiego i rozwiązujemy równanie:
Krok 4: Wartość stężenia jonów wodorotlenkowych podstawiamy do wzoru na pOH (analogicznie jak w pH).
pOH = -log[OH-] = -log(2,72 • 10-6) = 5,57
Krok 5: Suma wartości pH i pOH to zawsze 14. Znamy wartość pOH, więc liczymy wartość pH.
pOH + pH = 14 → pH = 14 - pOH = 14 - 5,57 = 8,43