Jeżeli do spalenia 2,24 dm³ metanu odmierzonego w warunkach normalnych zużyto 0,15 mola tlenu, to w wyniku reakcji powstał tlenek węgla(II). Stosunek masowy węgla do tlenu w produkcie tej reakcji wynosi 3 : 4. Masa drugiego produktu tej reakcji wynosi 3,6 g. Stosunek masowy produktów tej reakcji wynosi 7:9.
W wyniku spalania metanu reakcja może zajść na trzy sposoby – spalanie całkowite, niecałkowite i częściowe.
Obliczmy liczbę moli metanu, które ulegają spalaniu.
Taka reakcja to reakcja półspalania, w wyniku której powstaje tlenek węgla(II).
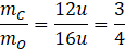
Obliczmy stosunek masowy węgla i tlenu:
Obliczmy teraz masę drugiego produktu reakcji, czyli wody:
Obliczmy stosunek masowy produktów reakcji, czyli