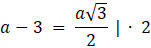
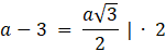
Oblicz długość boku trójkąta równobocznego wiedząc, że jego bok jest o 3 cm dłuższy od długości wysokości.
Oznacz długość boku jako
Zadanie 4.
39Zadanie 3
42Zadanie 4.
42Zadanie 3.
48Zadanie 6.
49Ćwiczenie sprawdzające 2.
49Zadanie 2.
55Zadanie 3.
55Zadanie 4.
55Zadanie 5.
55Zadanie 2.
58Zadanie 4.
58Zadanie 5.
58Zadanie 1.
60Zadanie 2.
58Zadanie 5.
58Zadanie 6.
58Zadanie 7.
63Ćwiczenie sprawdzające 3.
63