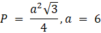
Oblicz pole trójkąta równobocznego o boku 6 cm. Wybierz poprawną odpowiedź spośród podanych:
A.
B.
C.
D.
A.
Wzór na pole trójkąta równobocznego został wyprowadzony z twierdzenia Pitagorasa: Kwadrat długość przeciwprostokątnej trójkąta prostokątnego jest równy sumie kwadratów długości przyprostokątnych tego trójkąta. Gdzie wysokość trójkąta równobocznego to przyprostokątna trójkąta prostokątnego, ½ boku trójkąta równobocznego to druga przyprostokątna, a bok trójkąta równobocznego to przeciwprostokątna.
Zadanie 4.
39Zadanie 3
42Zadanie 4.
42Zadanie 3.
48Zadanie 6.
49Ćwiczenie sprawdzające 2.
49Zadanie 2.
55Zadanie 3.
55Zadanie 4.
55Zadanie 5.
55Zadanie 2.
58Zadanie 4.
58Zadanie 5.
58Zadanie 1.
60Zadanie 2.
58Zadanie 5.
58Zadanie 6.
58Zadanie 7.
63Ćwiczenie sprawdzające 3.
63