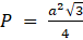
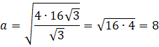
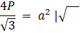
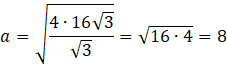
Oblicz bok trójkąta o podanym polu.
Jeśli bok trójkąta równobocznego jest równy
Zadanie 4.
39Zadanie 3
42Zadanie 4.
42Zadanie 3.
48Zadanie 6.
49Ćwiczenie sprawdzające 2.
49Zadanie 2.
55Zadanie 3.
55Zadanie 4.
55Zadanie 5.
55Zadanie 2.
58Zadanie 4.
58Zadanie 5.
58Zadanie 1.
60Zadanie 2.
58Zadanie 5.
58Zadanie 6.
58Zadanie 7.
63Ćwiczenie sprawdzające 3.
63