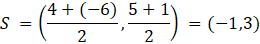
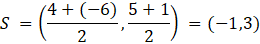
Znajdź współrzędne środka odcinka o końcach w punktach:
Skorzystaj ze wzoru na środek odcinka:
Zadanie 4.
39Zadanie 3
42Zadanie 4.
42Zadanie 3.
48Zadanie 6.
49Ćwiczenie sprawdzające 2.
49Zadanie 2.
55Zadanie 3.
55Zadanie 4.
55Zadanie 5.
55Zadanie 2.
58Zadanie 4.
58Zadanie 5.
58Zadanie 1.
60Zadanie 2.
58Zadanie 5.
58Zadanie 6.
58Zadanie 7.
63Ćwiczenie sprawdzające 3.
63