Oblicz pole wielokąta o wierzchołkach:
Zaznacz wierzchołki wielokąta w układzie współrzędnych, aby sprawdzić, jak można policzyć jego pole.
Podzielmy figurę na dwa trójkąty
Teraz możesz obliczy pole całej figury:
Zadanie 4.
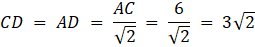
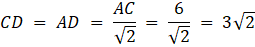
39Zadanie 3
42Zadanie 4.
42Zadanie 3.
48Zadanie 6.
49Ćwiczenie sprawdzające 2.
49Zadanie 2.
55Zadanie 3.
55Zadanie 4.
55Zadanie 5.
55Zadanie 2.
58Zadanie 4.
58Zadanie 5.
58Zadanie 1.
60Zadanie 2.
58Zadanie 5.
58Zadanie 6.
58Zadanie 7.
63Ćwiczenie sprawdzające 3.
63