Oblicz pole trójkąta o podanym boku:
grupa I – 6 cm
grupa II – 12 cm
grupa III –
grupa IV –
grupa I –
grupa II –
grupa III –
grupa IV –
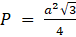
Jeśli bok trójkąta równobocznego jest równy
Zadanie 4.
39Zadanie 3
42Zadanie 4.
42Zadanie 3.
48Zadanie 6.
49Ćwiczenie sprawdzające 2.
49Zadanie 2.
55Zadanie 3.
55Zadanie 4.
55Zadanie 5.
55Zadanie 2.
58Zadanie 4.
58Zadanie 5.
58Zadanie 1.
60Zadanie 2.
58Zadanie 5.
58Zadanie 6.
58Zadanie 7.
63Ćwiczenie sprawdzające 3.
63