W tym zadaniu oblicz, jak wysoko nad ziemią jest zaczepiony wagonik oznaczony na fotografii literą A, a jak wysoko – wagonik oznaczony literą B wiedząc, że fotografia obok przedstawia tzw. diabelski młyn w pewnym lunaparku. Średnica jego koła wynosi 35 m. Zawieszono na nim 36 wagoników. W najniższym położeniu wagonik zawieszony jest 2 m nad ziemią.
r = 35 ∙ 0,5 = 17,5 m
a = 17,5 ∙ 0,9397 = 16,44 m
hA = r + a + 2 = 17,5 + 16,44 + 2 = 11,25 m
b = 17,5 ∙ 0,6428 = 11,25 m
hB = r + 2 - b = 17,5 + 2 – 11,25 = 8,25 m
Odpowiedź podana w podręczniku jest błędna.
Wyznacz długość promienia.
r = 35 ∙ 0,5 = 17,5 m
Cosinusem kąta α nazywamy stosunek długości przyprostokątnej leżącej przy kącie α do długości przeciwprostokątnej.
Odczytaj wartość kąta z tabeli na stronie 249 lub skorzystaj z kalkulatora.
a = 17,5 ∙ 0,9397 = 16,44 m
Wyznacz wysokość, na jakiej znajduje się wagonik A:
hA = r + a + 2 = 17,5 + 16,44 + 2 = 11,25 m
Odczytaj wartość kąta z tabeli na stronie 249 lub skorzystaj z kalkulatora.
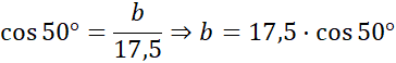
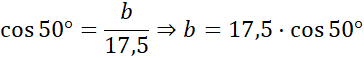
b = 17,5 ∙ 0,6428 = 11,25 m
Wyznacz wysokość, na jakiej znajduje się wagonik B:
hB = r + 2 - b = 17,5 + 2 – 11,25 = 8,25 m
Odpowiedź podana w podręczniku jest błędna.
Ćwiczenie A
164Ćwiczenie B
165Ćwiczenie D
166Zadanie 1
166Zadanie 2
167Zadanie 3
167Zadanie 4
167Zadanie 7
166Zadanie 8
166Zadanie 11
168Zadanie 12
168Ćwiczenie C
170Ćwiczenie D
171Zadanie 2
171Zadanie 3
172Zadanie 5
172Zadanie 6
172Zadanie 7
172Zadanie 9
173Zadanie 11
173Zadanie 12
173Zadanie 13
173Zadanie 1
177Zadanie 3
177Zadanie 4
177Zadanie 5
178Zadanie 10
178Zadanie 13
178Zadanie 14
178Zadanie 15
179Zadanie 19
179Zadanie 20
179Zadanie 4
182Zadanie 10
183Zadanie 11
184Zadanie 12
184Zadanie 1
186Zadanie 2
186Zadanie 3
187Zadanie 4
186Przykład 1
189Zadanie 1
190Zadanie 3
190Zadanie 4
190Zadanie 5
190Zadanie 6
190Zadanie 7
190Zadanie 8
190Zadanie 9
190Zadanie 10
191Ćwiczenie B
192Przykład 2
194Przykład 3
194Zadanie 1
196Zadanie 3
196Zadanie 4
196Zadanie 5
196Zadanie 6
196Zadanie 7
197Zadanie 8
197Zadanie 9
197Zadanie 11
197Zadanie 12
197Zadanie 13
197Zadanie 14
198Zadanie 15
198Zadanie 16
198Zadanie 1
202Zadanie 2
202Zadanie 4
202Zadanie 5
203Zadanie 6
203Zadanie 7
203Zadanie 8
203Zadanie 11
203Zadanie 1
207Zadanie 2
207Zadanie 3
207Zadanie 12
210Zadanie 13
210