W tym zadaniu oblicz odległość najwyżej położonego wierzchołka danego pudełka od podłogi (po zaokrągleniu do pełnych centymetrów) wiedząc, że prostopadłościenne pudełko jest oparte jedną krawędzią o ścianę, a drugą - o podłogę, tak jak przedstawiono na rysunku.
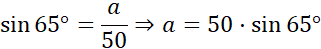
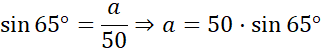
a = 50 ∙ 0,9063 = 45,315 cm
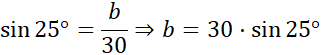
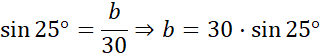
α = 180˚ - 90˚ - 65˚ = 25˚
b = 30 ∙ 0,4226 = 12,678 cm
Odległość najwyżej położonego wierzchołka tego pudełka od podłogi:
H = a + b = 45,315 + 12,678 = 57,993
Sinusem kąta α nazywamy stosunek długości przyprostokątnej leżącej naprzeciw kąta α do długości przeciwprostokątnej.
Wartości kątów odczytuj z tabeli.
a = 50 ∙ 0,9063 = 45,315 cm
Skorzystaj z własności kątów przyległych, by wyznaczyć kąt α.
α = 180˚ - 90˚ - 65˚ = 25˚
b = 30 ∙ 0,4226 = 12,678 cm
Odległość najwyżej położonego wierzchołka tego pudełka od podłogi:
H = a + b = 45,315 + 12,678 = 57,993
Ćwiczenie A
164Ćwiczenie B
165Ćwiczenie D
166Zadanie 1
166Zadanie 2
167Zadanie 3
167Zadanie 4
167Zadanie 7
166Zadanie 8
166Zadanie 11
168Zadanie 12
168Ćwiczenie C
170Ćwiczenie D
171Zadanie 2
171Zadanie 3
172Zadanie 5
172Zadanie 6
172Zadanie 7
172Zadanie 9
173Zadanie 11
173Zadanie 12
173Zadanie 13
173Zadanie 1
177Zadanie 3
177Zadanie 4
177Zadanie 5
178Zadanie 10
178Zadanie 13
178Zadanie 14
178Zadanie 15
179Zadanie 19
179Zadanie 20
179Zadanie 4
182Zadanie 10
183Zadanie 11
184Zadanie 12
184Zadanie 1
186Zadanie 2
186Zadanie 3
187Zadanie 4
186Przykład 1
189Zadanie 1
190Zadanie 3
190Zadanie 4
190Zadanie 5
190Zadanie 6
190Zadanie 7
190Zadanie 8
190Zadanie 9
190Zadanie 10
191Ćwiczenie B
192Przykład 2
194Przykład 3
194Zadanie 1
196Zadanie 3
196Zadanie 4
196Zadanie 5
196Zadanie 6
196Zadanie 7
197Zadanie 8
197Zadanie 9
197Zadanie 11
197Zadanie 12
197Zadanie 13
197Zadanie 14
198Zadanie 15
198Zadanie 16
198Zadanie 1
202Zadanie 2
202Zadanie 4
202Zadanie 5
203Zadanie 6
203Zadanie 7
203Zadanie 8
203Zadanie 11
203Zadanie 1
207Zadanie 2
207Zadanie 3
207Zadanie 12
210Zadanie 13
210