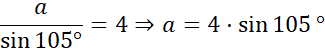
W tym zadaniu oblicz długości odcinków a i r oraz miarę kąta α.
Rysunek 1:
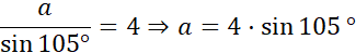
sin 105˚ = sin (180˚ - 75˚) = sin 75˚
a = 4 ∙ sin 75˚ = 4 ∙ 0,9659 = 3,8636
Rysunek 2:
γ = 180˚ - 75˚ - 45˚ = 60˚
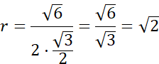
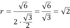
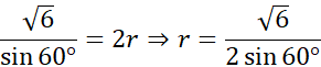
Rysunek 3:
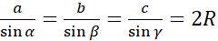
Skorzystaj z twierdzenia sinusów
Rysunek 1:
Skorzystaj z równości sin(180˚ - α) = sin α.
sin 105˚ = sin (180˚ - 75˚) = sin 75˚
Odczytaj wartość funkcji z tabeli.
a = 4 ∙ sin 75˚ = 4 ∙ 0,9659 = 3,8636
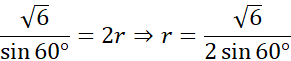
Rysunek 2:
Skorzystaj z własności, że suma kątów w trójkącie wynosi 180˚ i wyznacz trzeci kąt trójkąta.
γ = 180˚ - 75˚ - 45˚ = 60˚
Skorzystaj z twierdzenia sinusów.
Odczytaj wartość funkcji z tabeli.
Rysunek 3:
Skorzystaj z twierdzenia sinusów.
Odczytaj wartość sinus z tabeli.
Ćwiczenie A
164Ćwiczenie B
165Ćwiczenie D
166Zadanie 1
166Zadanie 2
167Zadanie 3
167Zadanie 4
167Zadanie 7
166Zadanie 8
166Zadanie 11
168Zadanie 12
168Ćwiczenie C
170Ćwiczenie D
171Zadanie 2
171Zadanie 3
172Zadanie 5
172Zadanie 6
172Zadanie 7
172Zadanie 9
173Zadanie 11
173Zadanie 12
173Zadanie 13
173Zadanie 1
177Zadanie 3
177Zadanie 4
177Zadanie 5
178Zadanie 10
178Zadanie 13
178Zadanie 14
178Zadanie 15
179Zadanie 19
179Zadanie 20
179Zadanie 4
182Zadanie 10
183Zadanie 11
184Zadanie 12
184Zadanie 1
186Zadanie 2
186Zadanie 3
187Zadanie 4
186Przykład 1
189Zadanie 1
190Zadanie 3
190Zadanie 4
190Zadanie 5
190Zadanie 6
190Zadanie 7
190Zadanie 8
190Zadanie 9
190Zadanie 10
191Ćwiczenie B
192Przykład 2
194Przykład 3
194Zadanie 1
196Zadanie 3
196Zadanie 4
196Zadanie 5
196Zadanie 6
196Zadanie 7
197Zadanie 8
197Zadanie 9
197Zadanie 11
197Zadanie 12
197Zadanie 13
197Zadanie 14
198Zadanie 15
198Zadanie 16
198Zadanie 1
202Zadanie 2
202Zadanie 4
202Zadanie 5
203Zadanie 6
203Zadanie 7
203Zadanie 8
203Zadanie 11
203Zadanie 1
207Zadanie 2
207Zadanie 3
207Zadanie 12
210Zadanie 13
210