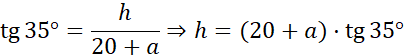
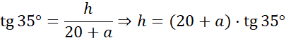
W tym zadaniu, korzystając z informacji podanych na rysunku, oblicz wysokość wieży.
(20 + a) ∙ 0,7002 = a ∙ 1,4281
14,004 + 0,7002a = 1,4281a / - 0,7002a
0,7279a = 14,004 / : 0,7279
a = 19,24 m
h = a ∙ 1,4281= 19,24 ∙ 1,4281 = 27,5 m
Oznacz wysokość wieży jako h, a odległość od wierzchołka kąta 55˚ do wieży jako a.
Tangensem kąta α nazywamy stosunek długości przyprostokątnej leżącej naprzeciw kąta α do długości drugiej przyprostokątnej.
Wartości kątów odczytuj z tabeli.
Przyrównaj oba wzory na wysokość.
(20 + a) ∙ 0,7002 = a ∙ 1,4281
14,004 + 0,7002a = 1,4281a / - 0,7002a
0,7279a = 14,004 / : 0,7279
a = 19,24 m
h = a ∙ 1,4281= 19,24 ∙ 1,4281 = 27,5 m
Ćwiczenie A
164Ćwiczenie B
165Ćwiczenie D
166Zadanie 1
166Zadanie 2
167Zadanie 3
167Zadanie 4
167Zadanie 7
166Zadanie 8
166Zadanie 11
168Zadanie 12
168Ćwiczenie C
170Ćwiczenie D
171Zadanie 2
171Zadanie 3
172Zadanie 5
172Zadanie 6
172Zadanie 7
172Zadanie 9
173Zadanie 11
173Zadanie 12
173Zadanie 13
173Zadanie 1
177Zadanie 3
177Zadanie 4
177Zadanie 5
178Zadanie 10
178Zadanie 13
178Zadanie 14
178Zadanie 15
179Zadanie 19
179Zadanie 20
179Zadanie 4
182Zadanie 10
183Zadanie 11
184Zadanie 12
184Zadanie 1
186Zadanie 2
186Zadanie 3
187Zadanie 4
186Przykład 1
189Zadanie 1
190Zadanie 3
190Zadanie 4
190Zadanie 5
190Zadanie 6
190Zadanie 7
190Zadanie 8
190Zadanie 9
190Zadanie 10
191Ćwiczenie B
192Przykład 2
194Przykład 3
194Zadanie 1
196Zadanie 3
196Zadanie 4
196Zadanie 5
196Zadanie 6
196Zadanie 7
197Zadanie 8
197Zadanie 9
197Zadanie 11
197Zadanie 12
197Zadanie 13
197Zadanie 14
198Zadanie 15
198Zadanie 16
198Zadanie 1
202Zadanie 2
202Zadanie 4
202Zadanie 5
203Zadanie 6
203Zadanie 7
203Zadanie 8
203Zadanie 11
203Zadanie 1
207Zadanie 2
207Zadanie 3
207Zadanie 12
210Zadanie 13
210