W tym zadaniu oblicz, jaką wysokość ma dany stok oraz jaką długość ma cała trasa wiedząc, że rysunek przedstawia przekrój sztucznego stoku narciarskiego, zbudowanego w olbrzymiej hali w Funabashi (Japonia).
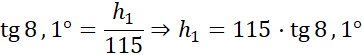
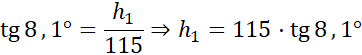
h1 – najniższa wysokość przy nachyleniu 8,1˚
h1 = 115 ∙ 0,1423 = 16,3669 m
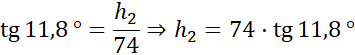
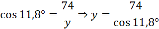
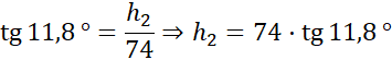
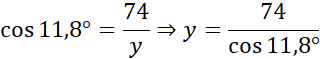
h2 – wysokość przy nachyleniu 11,8˚
h2 = 74 ∙ 0,2089 = 15,4596 m
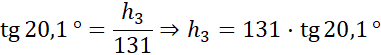
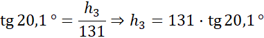
h3 – wysokość przy nachyleniu 20,1˚
h3 = 131 ∙ 0,3659 = 47,9392 m
x – długość wzgórza przy kącie 8,1˚
y – długość wzgórza przy kącie 11,8˚
z - długość wzgórza przy kącie 20,1˚
Wysokość stoku:
16,3669 + 15,4596 + 47,9392 = 79,7655
Długość stoku:
116,1588 + 75,5976 + 139,4961 + 179 = 510,2525
Przyjmij następujące oznaczenia: x – długość wzgórza przy kącie 8,1˚, y – długość wzgórza przy kącie 11,8˚, z - długość wzgórza przy kącie 20,1˚.
Cosinusem kąta α nazywamy stosunek długości przyprostokątnej leżącej przy kącie α do długości przeciwprostokątnej.
Odczytaj wartość kąta z tabeli.
Odczytaj wartość kąta z tabeli.
Odczytaj wartość kąta z tabeli.
Przyjmij następujące oznaczenia: h1 – najniższa wysokość, h2 – wysokość przy nachyleniu 11,8˚, h3 – wysokość przy nachyleniu 20,1˚
Tangensem kąta α nazywamy stosunek długości przyprostokątnej leżącej naprzeciw kąta α do długości drugiej przyprostokątnej.
Odczytaj wartość kąta z tabeli.
h1 = 115 ∙ 0,1423 = 16,3669 m
Odczytaj wartość kąta z tabeli.
h2 = 74 ∙ 0,2089 = 15,4596 m
Odczytaj wartość kąta z tabeli.
h3 = 131 ∙ 0,3659 = 47,9392 m
Wysokość stoku:
h1 + h2 + h3 = 16,3669 + 15,4596 + 47,9392 = 79,7655
Długość stoku:
x + y + z + 36 + 28 + 35 + 80 = 116,1588 + 75,5976 + 139,4961 + 179 = 510,2525
Ćwiczenie A
164Ćwiczenie B
165Ćwiczenie D
166Zadanie 1
166Zadanie 2
167Zadanie 3
167Zadanie 4
167Zadanie 7
166Zadanie 8
166Zadanie 11
168Zadanie 12
168Ćwiczenie C
170Ćwiczenie D
171Zadanie 2
171Zadanie 3
172Zadanie 5
172Zadanie 6
172Zadanie 7
172Zadanie 9
173Zadanie 11
173Zadanie 12
173Zadanie 13
173Zadanie 1
177Zadanie 3
177Zadanie 4
177Zadanie 5
178Zadanie 10
178Zadanie 13
178Zadanie 14
178Zadanie 15
179Zadanie 19
179Zadanie 20
179Zadanie 4
182Zadanie 10
183Zadanie 11
184Zadanie 12
184Zadanie 1
186Zadanie 2
186Zadanie 3
187Zadanie 4
186Przykład 1
189Zadanie 1
190Zadanie 3
190Zadanie 4
190Zadanie 5
190Zadanie 6
190Zadanie 7
190Zadanie 8
190Zadanie 9
190Zadanie 10
191Ćwiczenie B
192Przykład 2
194Przykład 3
194Zadanie 1
196Zadanie 3
196Zadanie 4
196Zadanie 5
196Zadanie 6
196Zadanie 7
197Zadanie 8
197Zadanie 9
197Zadanie 11
197Zadanie 12
197Zadanie 13
197Zadanie 14
198Zadanie 15
198Zadanie 16
198Zadanie 1
202Zadanie 2
202Zadanie 4
202Zadanie 5
203Zadanie 6
203Zadanie 7
203Zadanie 8
203Zadanie 11
203Zadanie 1
207Zadanie 2
207Zadanie 3
207Zadanie 12
210Zadanie 13
210