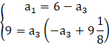
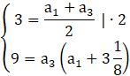
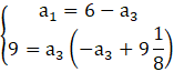
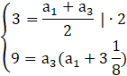
W tym zadaniu musisz wyznaczyć liczby ciągu arytmetycznego.
Dla
Dla
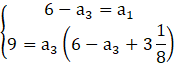
Ciąg jest rosnący.
Wypisz dane z zadania.
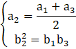
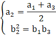
Skorzystaj z właściwości ciągów.
Policz deltę:
Dla
Ciąg geometryczny w tym przypadku nie jest rosnący.
Dla
Ciąg jest rosnący.
Zadanie 2.1.
27Zadanie 2.2.
27Zadanie 2.3.
27Zadanie 2.4.
27Zadanie 2.5.
27Zadanie 2.6.
27Zadanie 2.7.
28Zadanie 2.8.
28Zadanie 2.10.
28Zadanie 2.13.
28Zadanie 2.14.
28Zadanie 2.16.
29Zadanie 2.17.
29Zadanie 2.18.
29Zadanie 2.19.
29Zadanie 2.20.
29Zadanie 2.22.
30Zadanie 2.23.
30Zadanie 2.24.
30Zadanie 2.25.
30Zadanie 2.26.
30Zadanie 2.27.
31Zadanie 2.28.
31Zadanie 2.29.
31Zadanie 2.33.
31Zadanie 2.34.
32Zadanie 2.35.
32Zadanie 2.36.
32Zadanie 2.41.
32Zadanie 2.42.
32Zadanie 2.48.
33Zadanie 2.50.
33Zadanie 2.51.
33Zadanie 2.52.
33Zadanie 2.53.
33Zadanie 2.54.
34Zadanie 2.55.
34Zadanie 2.56.
34Zadanie 2.58.
34Zadanie 2.59.
34Zadanie 2.60
34Zadanie 2.64.
35Zadanie 2.66.
35Zadanie 2.68.
35Zadanie 2.70.
35Zadanie 2.71.
36Zadanie 2.73.
36Zadanie 2.78.
36Zadanie 2.84.
37Zadanie 2.90.
37Zadanie 2.93.
38Zadanie 2.94.
38Zadanie 2.99.
38Zadanie 2.100.
38Zadanie 2.101.
39Zadanie 2.104.
39Zadanie 2.108.
39Zadanie 2.115.
40Zadanie 2.116.
40Zadanie 2.119.
41Zadanie 2.120.
41Zadanie 2.121.
41Zadanie 2.123.
42Zadanie 2.124.
42Zadanie 2.125.
42Zadanie 2.128.
42Zadanie 2.130.
43Zadanie 2.131.
43Zadanie 12.
44Zadanie 14.
45Zadanie 15.
45Zadanie 17.
45Zadanie 18.
45Zadanie 20.
45Zadanie 22.
46Zadanie 25.
46Zadanie 26.
46