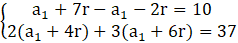
W tym zadaniu musisz obliczyć pierwszy wyraz i różnicę ciągu arytmetycznego
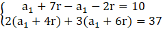
Masz układ równań.
Zapisz inaczej równania z wykorzystaniem różnicy r.
Z pierwszego równania masz:
Podstaw do drugiego równania r.
Zadanie 2.1.
27Zadanie 2.2.
27Zadanie 2.3.
27Zadanie 2.4.
27Zadanie 2.5.
27Zadanie 2.6.
27Zadanie 2.7.
28Zadanie 2.8.
28Zadanie 2.10.
28Zadanie 2.13.
28Zadanie 2.14.
28Zadanie 2.16.
29Zadanie 2.17.
29Zadanie 2.18.
29Zadanie 2.19.
29Zadanie 2.20.
29Zadanie 2.22.
30Zadanie 2.23.
30Zadanie 2.24.
30Zadanie 2.25.
30Zadanie 2.26.
30Zadanie 2.27.
31Zadanie 2.28.
31Zadanie 2.29.
31Zadanie 2.33.
31Zadanie 2.34.
32Zadanie 2.35.
32Zadanie 2.36.
32Zadanie 2.41.
32Zadanie 2.42.
32Zadanie 2.48.
33Zadanie 2.50.
33Zadanie 2.51.
33Zadanie 2.52.
33Zadanie 2.53.
33Zadanie 2.54.
34Zadanie 2.55.
34Zadanie 2.56.
34Zadanie 2.58.
34Zadanie 2.59.
34Zadanie 2.60
34Zadanie 2.64.
35Zadanie 2.66.
35Zadanie 2.68.
35Zadanie 2.70.
35Zadanie 2.71.
36Zadanie 2.73.
36Zadanie 2.78.
36Zadanie 2.84.
37Zadanie 2.90.
37Zadanie 2.93.
38Zadanie 2.94.
38Zadanie 2.99.
38Zadanie 2.100.
38Zadanie 2.101.
39Zadanie 2.104.
39Zadanie 2.108.
39Zadanie 2.115.
40Zadanie 2.116.
40Zadanie 2.119.
41Zadanie 2.120.
41Zadanie 2.121.
41Zadanie 2.123.
42Zadanie 2.124.
42Zadanie 2.125.
42Zadanie 2.128.
42Zadanie 2.130.
43Zadanie 2.131.
43Zadanie 12.
44Zadanie 14.
45Zadanie 15.
45Zadanie 17.
45Zadanie 18.
45Zadanie 20.
45Zadanie 22.
46Zadanie 25.
46Zadanie 26.
46