W tym zadaniu musisz określić, który ciąg jest geometryczny.
Ciąg
Ciąg
Ciąg
Ciąg
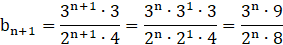
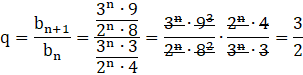
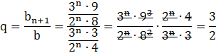
Przekształć wyrażenie
Oblicz
Aby sprawdzić, czy ciąg jest geometryczny, oblicz iloraz.
Iloraz tego ciągu jest liczbą rzeczywistą, czyli ciąg jest geometryczny.
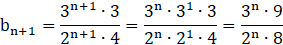
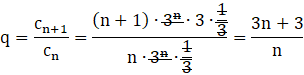
Przekształć wyrażenie
Oblicz
Aby sprawdzić, czy ciąg jest geometryczny, oblicz iloraz.
Iloraz tego ciągu jest liczbą rzeczywistą, czyli ciąg jest geometryczny.
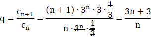
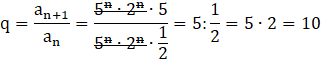
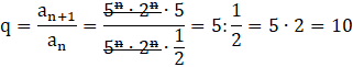
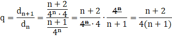
Przekształć wyrażenie
Oblicz
Aby sprawdzić, czy ciąg jest geometryczny, oblicz iloraz.
Iloraz tego ciągu nie jest liczbą rzeczywistą, czyli ciąg nie jest geometryczny.
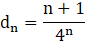
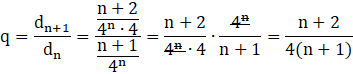
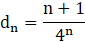
Oblicz
Aby sprawdzić, czy ciąg jest geometryczny, oblicz iloraz.
Iloraz tego ciągu nie jest liczbą rzeczywistą, czyli ciąg nie jest geometryczny.
Zadanie 2.1.
27Zadanie 2.2.
27Zadanie 2.3.
27Zadanie 2.4.
27Zadanie 2.5.
27Zadanie 2.6.
27Zadanie 2.7.
28Zadanie 2.8.
28Zadanie 2.10.
28Zadanie 2.13.
28Zadanie 2.14.
28Zadanie 2.16.
29Zadanie 2.17.
29Zadanie 2.18.
29Zadanie 2.19.
29Zadanie 2.20.
29Zadanie 2.22.
30Zadanie 2.23.
30Zadanie 2.24.
30Zadanie 2.25.
30Zadanie 2.26.
30Zadanie 2.27.
31Zadanie 2.28.
31Zadanie 2.29.
31Zadanie 2.33.
31Zadanie 2.34.
32Zadanie 2.35.
32Zadanie 2.36.
32Zadanie 2.41.
32Zadanie 2.42.
32Zadanie 2.48.
33Zadanie 2.50.
33Zadanie 2.51.
33Zadanie 2.52.
33Zadanie 2.53.
33Zadanie 2.54.
34Zadanie 2.55.
34Zadanie 2.56.
34Zadanie 2.58.
34Zadanie 2.59.
34Zadanie 2.60
34Zadanie 2.64.
35Zadanie 2.66.
35Zadanie 2.68.
35Zadanie 2.70.
35Zadanie 2.71.
36Zadanie 2.73.
36Zadanie 2.78.
36Zadanie 2.84.
37Zadanie 2.90.
37Zadanie 2.93.
38Zadanie 2.94.
38Zadanie 2.99.
38Zadanie 2.100.
38Zadanie 2.101.
39Zadanie 2.104.
39Zadanie 2.108.
39Zadanie 2.115.
40Zadanie 2.116.
40Zadanie 2.119.
41Zadanie 2.120.
41Zadanie 2.121.
41Zadanie 2.123.
42Zadanie 2.124.
42Zadanie 2.125.
42Zadanie 2.128.
42Zadanie 2.130.
43Zadanie 2.131.
43Zadanie 12.
44Zadanie 14.
45Zadanie 15.
45Zadanie 17.
45Zadanie 18.
45Zadanie 20.
45Zadanie 22.
46Zadanie 25.
46Zadanie 26.
46