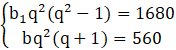
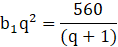
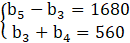
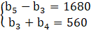
W tym zadaniu musisz obliczyć wartość różnicy ciągu
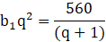
Uzależnij wyrazy ciągu w zależności od b1 i q
Zadanie 2.1.
27Zadanie 2.2.
27Zadanie 2.3.
27Zadanie 2.4.
27Zadanie 2.5.
27Zadanie 2.6.
27Zadanie 2.7.
28Zadanie 2.8.
28Zadanie 2.10.
28Zadanie 2.13.
28Zadanie 2.14.
28Zadanie 2.16.
29Zadanie 2.17.
29Zadanie 2.18.
29Zadanie 2.19.
29Zadanie 2.20.
29Zadanie 2.22.
30Zadanie 2.23.
30Zadanie 2.24.
30Zadanie 2.25.
30Zadanie 2.26.
30Zadanie 2.27.
31Zadanie 2.28.
31Zadanie 2.29.
31Zadanie 2.33.
31Zadanie 2.34.
32Zadanie 2.35.
32Zadanie 2.36.
32Zadanie 2.41.
32Zadanie 2.42.
32Zadanie 2.48.
33Zadanie 2.50.
33Zadanie 2.51.
33Zadanie 2.52.
33Zadanie 2.53.
33Zadanie 2.54.
34Zadanie 2.55.
34Zadanie 2.56.
34Zadanie 2.58.
34Zadanie 2.59.
34Zadanie 2.60
34Zadanie 2.64.
35Zadanie 2.66.
35Zadanie 2.68.
35Zadanie 2.70.
35Zadanie 2.71.
36Zadanie 2.73.
36Zadanie 2.78.
36Zadanie 2.84.
37Zadanie 2.90.
37Zadanie 2.93.
38Zadanie 2.94.
38Zadanie 2.99.
38Zadanie 2.100.
38Zadanie 2.101.
39Zadanie 2.104.
39Zadanie 2.108.
39Zadanie 2.115.
40Zadanie 2.116.
40Zadanie 2.119.
41Zadanie 2.120.
41Zadanie 2.121.
41Zadanie 2.123.
42Zadanie 2.124.
42Zadanie 2.125.
42Zadanie 2.128.
42Zadanie 2.130.
43Zadanie 2.131.
43Zadanie 12.
44Zadanie 14.
45Zadanie 15.
45Zadanie 17.
45Zadanie 18.
45Zadanie 20.
45Zadanie 22.
46Zadanie 25.
46Zadanie 26.
46