W tym zadaniu musisz wyznaczyć wyraz ogólny ciągu i sprawdzić, czy jest on monotoniczny.
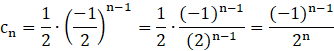
Sprawdź, czy jest monotoniczny.
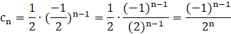
Ciąg nie jest monotoniczny, ponieważ w zależności, czy w n będzie liczba parzysta, czy nieparzysta cały wyraz też taki będzie.
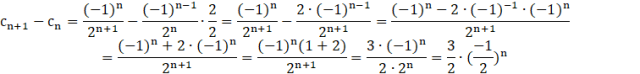
Sprawdź, czy jest monotoniczny.
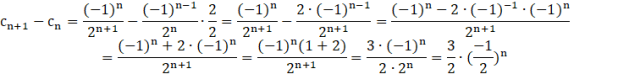
Ciąg nie jest monotoniczny, ponieważ w zależności, czy w n będzie liczba parzysta, czy nieparzysta cały wyraz też taki będzie.
Zadanie 2.1.
27Zadanie 2.2.
27Zadanie 2.3.
27Zadanie 2.4.
27Zadanie 2.5.
27Zadanie 2.6.
27Zadanie 2.7.
28Zadanie 2.8.
28Zadanie 2.10.
28Zadanie 2.13.
28Zadanie 2.14.
28Zadanie 2.16.
29Zadanie 2.17.
29Zadanie 2.18.
29Zadanie 2.19.
29Zadanie 2.20.
29Zadanie 2.22.
30Zadanie 2.23.
30Zadanie 2.24.
30Zadanie 2.25.
30Zadanie 2.26.
30Zadanie 2.27.
31Zadanie 2.28.
31Zadanie 2.29.
31Zadanie 2.33.
31Zadanie 2.34.
32Zadanie 2.35.
32Zadanie 2.36.
32Zadanie 2.41.
32Zadanie 2.42.
32Zadanie 2.48.
33Zadanie 2.50.
33Zadanie 2.51.
33Zadanie 2.52.
33Zadanie 2.53.
33Zadanie 2.54.
34Zadanie 2.55.
34Zadanie 2.56.
34Zadanie 2.58.
34Zadanie 2.59.
34Zadanie 2.60
34Zadanie 2.64.
35Zadanie 2.66.
35Zadanie 2.68.
35Zadanie 2.70.
35Zadanie 2.71.
36Zadanie 2.73.
36Zadanie 2.78.
36Zadanie 2.84.
37Zadanie 2.90.
37Zadanie 2.93.
38Zadanie 2.94.
38Zadanie 2.99.
38Zadanie 2.100.
38Zadanie 2.101.
39Zadanie 2.104.
39Zadanie 2.108.
39Zadanie 2.115.
40Zadanie 2.116.
40Zadanie 2.119.
41Zadanie 2.120.
41Zadanie 2.121.
41Zadanie 2.123.
42Zadanie 2.124.
42Zadanie 2.125.
42Zadanie 2.128.
42Zadanie 2.130.
43Zadanie 2.131.
43Zadanie 12.
44Zadanie 14.
45Zadanie 15.
45Zadanie 17.
45Zadanie 18.
45Zadanie 20.
45Zadanie 22.
46Zadanie 25.
46Zadanie 26.
46