Oblicz ilość ciepła, jaką może maksymalnie pochłonąć kulka z ołowiu, aby jej temperatura wzrosła o 1 stopień.
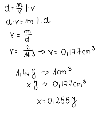
Z przekształconego wzoru na gęstość obliczamy objętość roztworu.
Ćwiczenie 1.1.
Ćwiczenie 1.2.
Ćwiczenie 1.3.
Ćwiczenie 1.4.
Ćwiczenie 1.5.
Ćwiczenie 1.6.
Ćwiczenie 1.7.
Ćwiczenie 1.8.
Ćwiczenie 1.9.
Ćwiczenie 1.10.
Ćwiczenie 1.11.
Ćwiczenie 1.12.
Ćwiczenie 1.13.
Ćwiczenie 1.14.
Ćwiczenie 1.15.
Ćwiczenie 1.16.
Ćwiczenie 1.17.
Ćwiczenie 1.18.
Podpunkt a)
Podpunkt b)
Podpunkt c)
Podpunkt d)
Ćwiczenie 1.19.
Ćwiczenie 1.20.
Ćwiczenie 1.21.
Ćwiczenie 1.22.
Podpunkt e)
Podpunkt f)
Podpunkt g)
Ćwiczenie 1.23.
Ćwiczenie 1.24.
Ćwiczenie 2.1.
Ćwiczenie 2.2.
Ćwiczenie 2.3.
Ćwiczenie 2.4.
Ćwiczenie 2.5.
Ćwiczenie 2.6.
Ćwiczenie 2.7.
Ćwiczenie 2.8.
Ćwiczenie 2.9.
Ćwiczenie 2.10.
Ćwiczenie 2.11.
Ćwiczenie 2.12.
Ćwiczenie 2.13.
Ćwiczenie 2.14.
Ćwiczenie 2.15.
Ćwiczenie 2.16.
Ćwiczenie 2.17.
Ćwiczenie 3.1.
Ćwiczenie 3.2.
Ćwiczenie 3.3.
Ćwiczenie 3.4.
Ćwiczenie 3.5.
Ćwiczenie 3.6.
Ćwiczenie 3.7.
Ćwiczenie 3.8.
Ćwiczenie 3.9.
Ćwiczenie 3.10.
Ćwiczenie 3.11.
Ćwiczenie 3.12.
Ćwiczenie 3.13.
Ćwiczenie 3.14.
Ćwiczenie 3.15.
Ćwiczenie 3.16.
Ćwiczenie 3.17.
Ćwiczenie 3.18.
Ćwiczenie 3.19.
Ćwiczenie 3.20.
Ćwiczenie 3.21.
Ćwiczenie 3.22.
Ćwiczenie 4.1.
Ćwiczenie 4.2.
Ćwiczenie 4.3.
Ćwiczenie 4.4.
Ćwiczenie 4.5.
Ćwiczenie 4.6.
Ćwiczenie 4.7.
Ćwiczenie 4.8.
Ćwiczenie 4.9.
Ćwiczenie 4.10.