1. Obliczamy stężenie molowe wodoru oraz jodu, korzystając z odpowiedniego wzoru i danych zawartych w treści zadania:
2. Konstruujemy tabelę zawierającą niewiadomą, dzięki której wyznaczymy stężenia równowagowe reagentów:
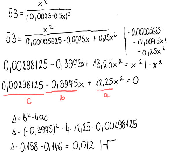
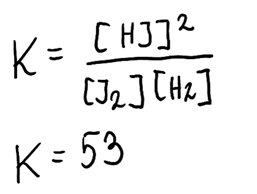
3. Wartości stężeń równowagowych podstawiamy do wyrażenia na stałą równowagi reakcji i obliczamy wartość X:
4. Obliczamy stężenia równowagowe reagentów i zapisujemy je, pamiętając o poprawności zapisu- notacji wykładniczej: