1. F
2. F
3. F
4. P
5. P
· Dotyczy podpunktu A:
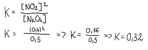
9k > 2k
· Dotyczy podpunktu B:
Zgodnie z regułą przekory, wzrost temperatury powoduje zwiększenie wydajności reakcji endoenergetycznej, zaś spadek temperatury zmniejsza wydajność takiej reakcji. Odwrotnie jest w przypadku reakcji egzoenergetycznej.
W opisanym przypadku spadek temperatury (w związku z umieszczeniem rurki w lodzie) spowoduje obniżenie wydajności reakcji- spadek stężenia produktów- a co za tym idzie- przesunięcie stanu równowagi reakcji w kierunku substratu, jakim jest gaz barwy żółtej.
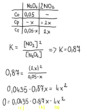
· Dotyczy podpunktu C:
· Dotyczy podpunktu D:
Wartość stałej równowagi w tych warunkach nie osiągnęła wartości równowagowej 0,87.