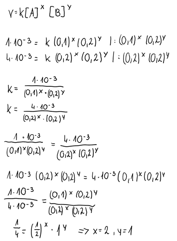
Ustal rząd reakcji względem substratu A i substratu B.
Rząd reakcji względem substratu A- 2
Rząd reakcji względem substratu B- 1
Rząd reakcji względem jakiegoś reagenta to wykładnik potęgi, do której podnosimy stężenie danego substratu w równaniu kinetycznym.
Ćwiczenie 1.1.
Ćwiczenie 1.2.
Ćwiczenie 1.3.
Ćwiczenie 1.4.
Ćwiczenie 1.5.
Ćwiczenie 1.6.
Ćwiczenie 1.7.
Ćwiczenie 1.8.
Ćwiczenie 1.9.
Ćwiczenie 1.10.
Ćwiczenie 1.11.
Ćwiczenie 1.12.
Ćwiczenie 1.13.
Ćwiczenie 1.14.
Ćwiczenie 1.15.
Ćwiczenie 1.16.
Ćwiczenie 1.17.
Ćwiczenie 1.18.
Podpunkt a)
Podpunkt b)
Podpunkt c)
Podpunkt d)
Ćwiczenie 1.19.
Ćwiczenie 1.20.
Ćwiczenie 1.21.
Ćwiczenie 1.22.
Podpunkt e)
Podpunkt f)
Podpunkt g)
Ćwiczenie 1.23.
Ćwiczenie 1.24.
Ćwiczenie 2.1.
Ćwiczenie 2.2.
Ćwiczenie 2.3.
Ćwiczenie 2.4.
Ćwiczenie 2.5.
Ćwiczenie 2.6.
Ćwiczenie 2.7.
Ćwiczenie 2.8.
Ćwiczenie 2.9.
Ćwiczenie 2.10.
Ćwiczenie 2.11.
Ćwiczenie 2.12.
Ćwiczenie 2.13.
Ćwiczenie 2.14.
Ćwiczenie 2.15.
Ćwiczenie 2.16.
Ćwiczenie 2.17.
Ćwiczenie 3.1.
Ćwiczenie 3.2.
Ćwiczenie 3.3.
Ćwiczenie 3.4.
Ćwiczenie 3.5.
Ćwiczenie 3.6.
Ćwiczenie 3.7.
Ćwiczenie 3.8.
Ćwiczenie 3.9.
Ćwiczenie 3.10.
Ćwiczenie 3.11.
Ćwiczenie 3.12.
Ćwiczenie 3.13.
Ćwiczenie 3.14.
Ćwiczenie 3.15.
Ćwiczenie 3.16.
Ćwiczenie 3.17.
Ćwiczenie 3.18.
Ćwiczenie 3.19.
Ćwiczenie 3.20.
Ćwiczenie 3.21.
Ćwiczenie 3.22.
Ćwiczenie 4.1.
Ćwiczenie 4.2.
Ćwiczenie 4.3.
Ćwiczenie 4.4.
Ćwiczenie 4.5.
Ćwiczenie 4.6.
Ćwiczenie 4.7.
Ćwiczenie 4.8.
Ćwiczenie 4.9.
Ćwiczenie 4.10.