1. Sporządzamy tabelkę, zgodnie z którą będziemy mogli wyznaczyć stężenia równowagowe reagentów. W zadaniu nie jest znane dokładne stężenie równowagowe produktów, zatem niezbędne jest wprowadzenie niewiadomej X.
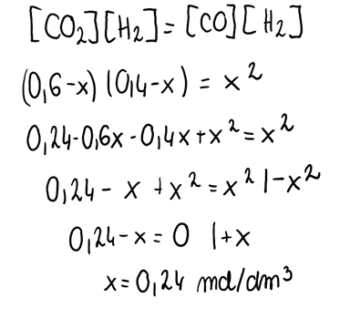
2. Zapisujemy wrażenie na stałą równowagi opisanej reakcji, wiedząc, że jest to iloczyn stężeń produktów podzielony przez iloczyn stężeń substratów. Wiedząc, że wartość stałej wynosi 1, upraszczamy przygotowane wyrażenie:
3. Do tak przygotowanego wyrażenia, podstawiamy stężenia równowagowe (Cr) z tabeli przedstawionej w punkcie 1. Pozwoli nam to obliczyć wartość niewiadomej X:
4. Znając wartość niewiadomej X, obliczamy stężenia równowagowe substratów i produktów reakcji: