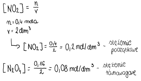
1. Korzystając z danych zawartych w treści zadania oraz wzoru na stężenie molowe, obliczamy stężenie początkowe substratu oraz stężenie równowagowe produktu:
2. Konstruujemy tabelkę, która pozwoli wyznaczyć stężenie równowagowe substratu: