1. Należy obliczyć liczbę moli substancji A, korzystając z przekształconego wzoru na stężenie molowe oraz danych zawartych w treści zadania.
2. Korzystając z równania reakcji, należy obliczyć, jaka stechiometryczna ilość moli substancji B przereagowała z obliczoną liczbą moli substancji A.
3. Przekształcając wzór na stężenie molowe, można obliczyć objętość roztworu B.
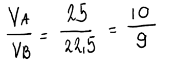
4. Obliczamy stosunek objętościowy roztworu A do roztworu B- wynosi on 10:9.