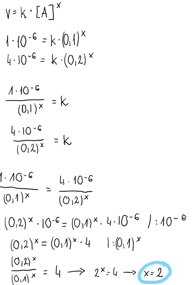
v=k[A]2
Zgodnie z tabelą widzimy, iż jedyne zmiany w szybkości reakcji następują między punktem 1. i 2.
Między 2. a 3. ustaliła się równowaga- szybkość reakcji utrzymuje się na stałym poziomie (
). Oznacza to, że szybkość reakcji zależy wyłącznie od zmian stężenia reagenta A2, bo tylko ten reagent zmienia swoje stężenie w opisanym momencie reakcji.
Obliczenia: