1. W pierwszej kolejności obliczamy liczbę moli reagentów opisanych w treści zadania, dzieląc ich masę przez masę molową, a w następnym kroku, znając objętość i korzystając z wzoru na stężenie molowe, obliczamy Cm dla tychże reagentów:
2. Sporządzamy tabelkę, która pozwoli na wyznaczenie stężeń równowagowych. Niezbędne jest wprowadzenie niewiadomej X:
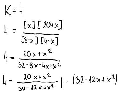
3. Znając wyrażenie na stałą równowagi, stężenia równowagowe i wartość stałej równowagi, podstawiamy odpowiednie wielkości:
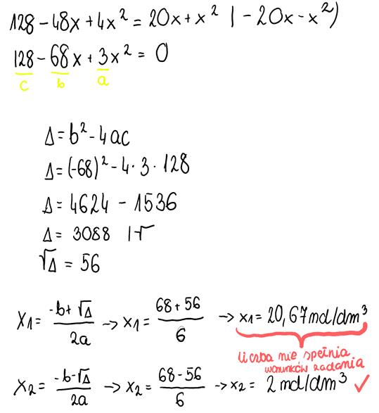
4. Obliczamy stężenia równowagowe reagentów biorących udział w reakcji estryfikacji: