1. Korzystając z równania reakcji, obliczamy ile moli produktu musiało powstać przy założeniu 85% wydajności reakcji. Korzystamy z danych liczbowych przedstawionych na schematycznym rysunku:
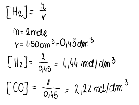
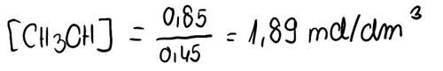
2. Obliczamy stężenia molowe substratów i produktu, korzystając z danych przedstawionych na rysunku oraz z informacji z podpunktu 1.:
3. Znając stężenia początkowe substratów i równowagowe produktu, konstruujemy tabelkę i obliczamy stężenia równowagowe wszystkich reagentów:
4. Podstawiamy uzyskane dane liczbowe do wyrażenia na stałą równowagi reakcji:
5. Wynik należy przybliżyć do pierwszego miejsca po przecinku- wynosi on 13,1.