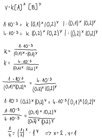
Napisz równanie kinetyczne dla przedstawionej reakcji.
v=k[A]2[B]
Ćwiczenie 1.1.
Ćwiczenie 1.2.
Ćwiczenie 1.3.
Ćwiczenie 1.4.
Ćwiczenie 1.5.
Ćwiczenie 1.6.
Ćwiczenie 1.7.
Ćwiczenie 1.8.
Ćwiczenie 1.9.
Ćwiczenie 1.10.
Ćwiczenie 1.11.
Ćwiczenie 1.12.
Ćwiczenie 1.13.
Ćwiczenie 1.14.
Ćwiczenie 1.15.
Ćwiczenie 1.16.
Ćwiczenie 1.17.
Ćwiczenie 1.18.
Podpunkt a)
Podpunkt b)
Podpunkt c)
Podpunkt d)
Ćwiczenie 1.19.
Ćwiczenie 1.20.
Ćwiczenie 1.21.
Ćwiczenie 1.22.
Podpunkt e)
Podpunkt f)
Podpunkt g)
Ćwiczenie 1.23.
Ćwiczenie 1.24.
Ćwiczenie 2.1.
Ćwiczenie 2.2.
Ćwiczenie 2.3.
Ćwiczenie 2.4.
Ćwiczenie 2.5.
Ćwiczenie 2.6.
Ćwiczenie 2.7.
Ćwiczenie 2.8.
Ćwiczenie 2.9.
Ćwiczenie 2.10.
Ćwiczenie 2.11.
Ćwiczenie 2.12.
Ćwiczenie 2.13.
Ćwiczenie 2.14.
Ćwiczenie 2.15.
Ćwiczenie 2.16.
Ćwiczenie 2.17.
Ćwiczenie 3.1.
Ćwiczenie 3.2.
Ćwiczenie 3.3.
Ćwiczenie 3.4.
Ćwiczenie 3.5.
Ćwiczenie 3.6.
Ćwiczenie 3.7.
Ćwiczenie 3.8.
Ćwiczenie 3.9.
Ćwiczenie 3.10.
Ćwiczenie 3.11.
Ćwiczenie 3.12.
Ćwiczenie 3.13.
Ćwiczenie 3.14.
Ćwiczenie 3.15.
Ćwiczenie 3.16.
Ćwiczenie 3.17.
Ćwiczenie 3.18.
Ćwiczenie 3.19.
Ćwiczenie 3.20.
Ćwiczenie 3.21.
Ćwiczenie 3.22.
Ćwiczenie 4.1.
Ćwiczenie 4.2.
Ćwiczenie 4.3.
Ćwiczenie 4.4.
Ćwiczenie 4.5.
Ćwiczenie 4.6.
Ćwiczenie 4.7.
Ćwiczenie 4.8.
Ćwiczenie 4.9.
Ćwiczenie 4.10.