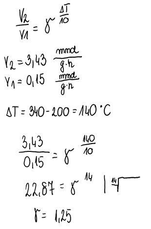
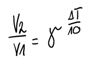
1. W zadaniu korzystamy z wzoru na obliczenie współczynnika temperaturowego (g):
gdzie V2 to szybkość reakcji po zadanym czasie, V1- szybkość początkowa reakcji, a DT to zmiana temperatury jaka ma miejsce w trakcie doświadczenia.
2. Obliczamy wartość współczynnika temperaturowego, korzystając ze wzoru opisanego w punkcie 1.:
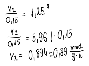
3. Znając wartość współczynnika temperaturowego oraz różnicę temperatur z drugiej części zadania, obliczamy, podstawiając do wzoru, teoretyczną wartość prędkości reakcji w temperaturze 280oC: