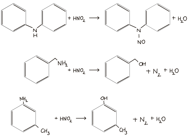
W tym zadaniu należy zapisać równanie reakcji między kwasem azotowym(III) a podanymi związkami chemicznymi.
Dla ułatwienia zapisano wzory chemiczne podanych związków chemicznych (substratów reakcji):
· N-fenyloanilina,
· fenylometanoamina,
· 3-metyloanilina.
Zadanie 1.26.
11Zadanie 1.31.
5Zadanie 1.32.
14Zadanie 1.33.
14Zadanie 1.34.
14Zadanie 1.35.
15Zadanie 1.36.
15Zadanie 1.37.
15Zadanie 1.38.
16Zadanie 1.39.
17Zadanie 1.40.
17Zadanie 2.15.
22Zadanie 2.16.
23Zadanie 2.17.
23Zadanie 2.18.
23Zadanie 2.19.
24Zadanie 2.20.
24Zadanie 2.21.
25Zadanie 2.23.
26Zadanie 2.24.
26Zadanie 2.26.
27Zadanie 2.27.
27Zadanie 3.26.
36Zadanie 3.27.
36Zadanie 3.28.
37Zadanie 3.29.
38Zadanie 3.30.
38Zadanie 3.31.
39Zadanie 3.32.
39Zadanie 3.34.
40Zadanie 3.36.
40Zadanie 3.37.
40Zadanie 3.39.
41Zadanie 3.40.
41Zadanie 4.25.
47Zadanie 4.26.
48Zadanie 4.27.
48Zadanie 4.28.
48Zadanie 4.31.
48Zadanie 4.34.
50Zadanie 4.36.
51Zadanie 4.37.
51Zadanie 4.39.
52