W tym zadaniu należy wykonać obliczenia, które pozwolą określić stopień dysocjacji, a następnie wskazać prawidłowe zdanie.
Prawidłowa odpowiedź to:
C. Stężenie jonów OH- wynosi 0,011 mol/dm3.
Dane:
Odczytujemy z tablic stałą dysocjacji etanoaminy:
Odpowiedź A:
Aby obliczyć stężenie procentowe, musimy znać gęstość roztworu, której brakuje w zadaniu.
Odpowiedź B:
Obliczmy stężenie jonów wodorotlenkowych:
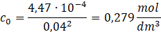
Obliczmy stężenie jonów wodorkowych:
Odpowiedź D:
Obliczmy pH oraz pOH roztworu:
Zadanie 1.26.
11Zadanie 1.31.
5Zadanie 1.32.
14Zadanie 1.33.
14Zadanie 1.34.
14Zadanie 1.35.
15Zadanie 1.36.
15Zadanie 1.37.
15Zadanie 1.38.
16Zadanie 1.39.
17Zadanie 1.40.
17Zadanie 2.15.
22Zadanie 2.16.
23Zadanie 2.17.
23Zadanie 2.18.
23Zadanie 2.19.
24Zadanie 2.20.
24Zadanie 2.21.
25Zadanie 2.23.
26Zadanie 2.24.
26Zadanie 2.26.
27Zadanie 2.27.
27Zadanie 3.26.
36Zadanie 3.27.
36Zadanie 3.28.
37Zadanie 3.29.
38Zadanie 3.30.
38Zadanie 3.31.
39Zadanie 3.32.
39Zadanie 3.34.
40Zadanie 3.36.
40Zadanie 3.37.
40Zadanie 3.39.
41Zadanie 3.40.
41Zadanie 4.25.
47Zadanie 4.26.
48Zadanie 4.27.
48Zadanie 4.28.
48Zadanie 4.31.
48Zadanie 4.34.
50Zadanie 4.36.
51Zadanie 4.37.
51Zadanie 4.39.
52