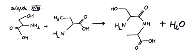
W tym zadaniu zapisać równania reakcji związków IX, XII, XV oraz XVIII.
Wiedząc, że:
· etapem pierwszym otrzymywania aminy aromatycznej była reakcja nitrobenzenu z żelazem w środowisku kwasu siarkowego(VI)
· do otrzymania związku IX zastosowano odpowiedni chlorek kwasowy
Zadanie 1.26.
11Zadanie 1.31.
5Zadanie 1.32.
14Zadanie 1.33.
14Zadanie 1.34.
14Zadanie 1.35.
15Zadanie 1.36.
15Zadanie 1.37.
15Zadanie 1.38.
16Zadanie 1.39.
17Zadanie 1.40.
17Zadanie 2.15.
22Zadanie 2.16.
23Zadanie 2.17.
23Zadanie 2.18.
23Zadanie 2.19.
24Zadanie 2.20.
24Zadanie 2.21.
25Zadanie 2.23.
26Zadanie 2.24.
26Zadanie 2.26.
27Zadanie 2.27.
27Zadanie 3.26.
36Zadanie 3.27.
36Zadanie 3.28.
37Zadanie 3.29.
38Zadanie 3.30.
38Zadanie 3.31.
39Zadanie 3.32.
39Zadanie 3.34.
40Zadanie 3.36.
40Zadanie 3.37.
40Zadanie 3.39.
41Zadanie 3.40.
41Zadanie 4.25.
47Zadanie 4.26.
48Zadanie 4.27.
48Zadanie 4.28.
48Zadanie 4.31.
48Zadanie 4.34.
50Zadanie 4.36.
51Zadanie 4.37.
51Zadanie 4.39.
52