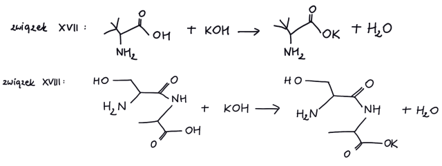
W tym zadaniu zapisać równania reakcji podanych związków z wodorotlenkiem potasu.
Najczęściej spotykanymi reakcjami wśród związków organicznych są:
Substytucja rodnikowa to reakcja zachodząca dla związków organicznych, która polega na przyłączaniu się podstawnika do atomu węgla z najmniejszą liczbą wodoru. Składa się ona z trzech etapów: inicjacji, propagacji oraz terminacji.
Substytucja elektrofilowa polega na „atakowaniu” związku aromatycznego przez elektrofil.
Addycja elektrofilowa to reakcja polegająca na przyłączaniu się związki z niedomiarem elektronów do związki z nadmiarem elektronów. W tej reakcji nie tworzą się produkty uboczne.
Zadanie 1.26.
11Zadanie 1.31.
5Zadanie 1.32.
14Zadanie 1.33.
14Zadanie 1.34.
14Zadanie 1.35.
15Zadanie 1.36.
15Zadanie 1.37.
15Zadanie 1.38.
16Zadanie 1.39.
17Zadanie 1.40.
17Zadanie 2.15.
22Zadanie 2.16.
23Zadanie 2.17.
23Zadanie 2.18.
23Zadanie 2.19.
24Zadanie 2.20.
24Zadanie 2.21.
25Zadanie 2.23.
26Zadanie 2.24.
26Zadanie 2.26.
27Zadanie 2.27.
27Zadanie 3.26.
36Zadanie 3.27.
36Zadanie 3.28.
37Zadanie 3.29.
38Zadanie 3.30.
38Zadanie 3.31.
39Zadanie 3.32.
39Zadanie 3.34.
40Zadanie 3.36.
40Zadanie 3.37.
40Zadanie 3.39.
41Zadanie 3.40.
41Zadanie 4.25.
47Zadanie 4.26.
48Zadanie 4.27.
48Zadanie 4.28.
48Zadanie 4.31.
48Zadanie 4.34.
50Zadanie 4.36.
51Zadanie 4.37.
51Zadanie 4.39.
52